2021年5卷3期
显示方式: |
2021, 5(3): 391-407.
doi: 10.1093/ce/zkab018
摘要:
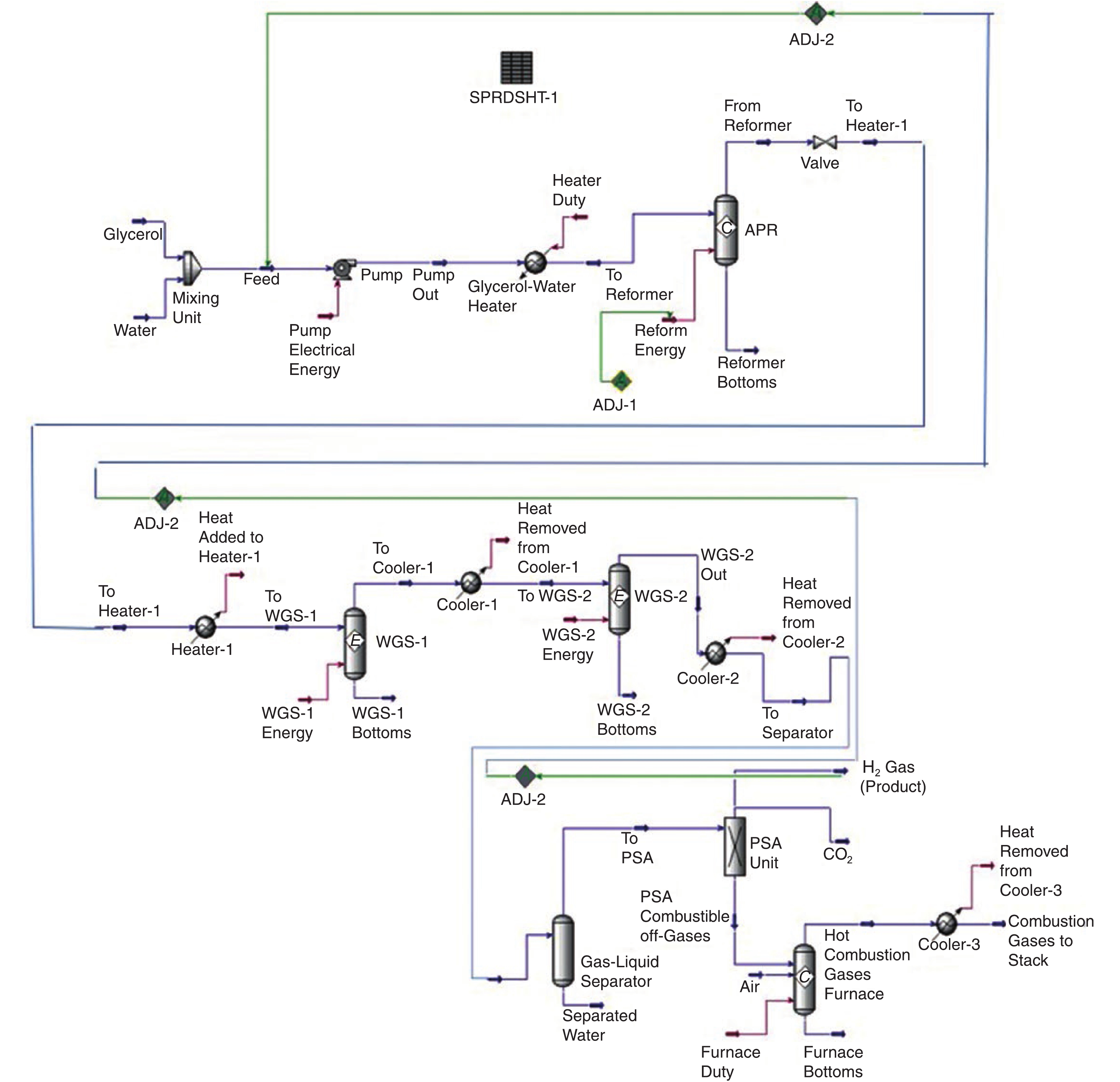
本文是一篇基于模拟的比较性评价,旨在量化某一种绿色氢气 (H2) 的生产过程对环境和人类健康的影响;氢气是通过3种基于甘油的技术而生产得到的,具体包括超临界水重整(supercritical water reforming, SCWR)、水相重整(aqueous-phase reforming, APR)和自热重整(autothermal reforming, ATR)技术。2018版的GaBi生命周期评价(life-cycle assessment, LCA)平台为这些技术发展开发了“从原材料到出厂(cradle-to-gate)”的产品系统模型,并通过TRACI 2.1方法对它们的中点影响类别进行了量化。基于上述各甘油-重整技术,使用Aspen HYSYS(v11)过程仿真软件,获得了生产1 kg H2所需的生命周期清单(life-cycle inventory, LCI)原始数据。根据ISO14040:2006对生命周期清单结果解释步骤的报告要求,开发并量化了3种基准情形(base case, BC)和4种敏感场景(sensitivity scenario, SS),并就生产过程中不同的电力(美国电网混合电力与风电)和热力来源(天然气与沼气)对生命周期评价(LCA)结果的影响进行比较。由于SCWR过程的操作压力较高(即240 bar),可以对原位(in situ)发电带来的影响进行评价,从而抵偿了这项技术所需的部分电力消耗。本研究得出的主要结论如下:(i)每生产1 kg H2,APR过程相较于ATR过程减少了约95%的CO2排放量,相较于SCWR过程则减少了约92%的排放量;(ii)在基准情形中,一次能源消耗量(按生产1 kg H2所需的MJ量计)从最高到最低依次为:ATR > SCWR > APR;(iii)通过甘油用APR过程生产H2的技术,相较于SCWR和ATR过程在环境方面更具可持续性,因此为生产更绿色的H2提供了一条更具前景的途径。未来的环境可持续性研究应侧重于拓展这项研究的范围,以纳入更多的H2生产途径,具体包括使用可再生电源开展电解水作业以及通过太阳能与核能驱动热化学水分解作业。
本文是一篇基于模拟的比较性评价,旨在量化某一种绿色氢气 (H2) 的生产过程对环境和人类健康的影响;氢气是通过3种基于甘油的技术而生产得到的,具体包括超临界水重整(supercritical water reforming, SCWR)、水相重整(aqueous-phase reforming, APR)和自热重整(autothermal reforming, ATR)技术。2018版的GaBi生命周期评价(life-cycle assessment, LCA)平台为这些技术发展开发了“从原材料到出厂(cradle-to-gate)”的产品系统模型,并通过TRACI 2.1方法对它们的中点影响类别进行了量化。基于上述各甘油-重整技术,使用Aspen HYSYS(v11)过程仿真软件,获得了生产1 kg H2所需的生命周期清单(life-cycle inventory, LCI)原始数据。根据ISO14040:2006对生命周期清单结果解释步骤的报告要求,开发并量化了3种基准情形(base case, BC)和4种敏感场景(sensitivity scenario, SS),并就生产过程中不同的电力(美国电网混合电力与风电)和热力来源(天然气与沼气)对生命周期评价(LCA)结果的影响进行比较。由于SCWR过程的操作压力较高(即240 bar),可以对原位(in situ)发电带来的影响进行评价,从而抵偿了这项技术所需的部分电力消耗。本研究得出的主要结论如下:(i)每生产1 kg H2,APR过程相较于ATR过程减少了约95%的CO2排放量,相较于SCWR过程则减少了约92%的排放量;(ii)在基准情形中,一次能源消耗量(按生产1 kg H2所需的MJ量计)从最高到最低依次为:ATR > SCWR > APR;(iii)通过甘油用APR过程生产H2的技术,相较于SCWR和ATR过程在环境方面更具可持续性,因此为生产更绿色的H2提供了一条更具前景的途径。未来的环境可持续性研究应侧重于拓展这项研究的范围,以纳入更多的H2生产途径,具体包括使用可再生电源开展电解水作业以及通过太阳能与核能驱动热化学水分解作业。
2021, 5(3): 408-425.
doi: 10.1093/ce/zkab019
摘要:
在这个城市化的时代,双面屋顶光伏板不失为一种绝佳的发电方式,对孟加拉国等土地面积有限的国家来说更是如此。该文针对孟加拉国加济布尔县伊斯兰科技大学(Islamic University of Technology,IUT)北学生公寓,提出了一种基于软件的屋顶双面太阳能板能量模型设计及仿真方法。该文选用垂直安装模型,对在易间歇断电区域的大学公寓实施该能量模型的可行性及适用性展开了研究。该文采用了3大软件平台,即PVSOL、PVsyst、系统顾问模型(System Advisor Model,SAM),从3个不同的方向进行严格的仿真。在年发电量、双面增益(BG)及电网和光伏模型的能耗覆盖率方面,观察到了令人鼓舞的结果。北学生公寓年需电量约为444733.5 kWh。3个方向的年发电量分别为92508.62、94643.48、86758.94 kWh。故该提议的3个方向的年发电量几乎可提供北学生公寓19%—21%的年用电量。月BG分析结果表明,方向1、方向2、方向3的能量增益分别增加了13%、15.6%、6%。为探究该系统的可行性,该文还对3大软件的仿真结果进行了严格的对比分析与偏差分析。因此,该文充分考虑了各个因素,基于软件对不同方向的PV板发电量进行了详细的评估,可为将来硬件采用提供重要的专业信息及为相关评估提供参考。
在这个城市化的时代,双面屋顶光伏板不失为一种绝佳的发电方式,对孟加拉国等土地面积有限的国家来说更是如此。该文针对孟加拉国加济布尔县伊斯兰科技大学(Islamic University of Technology,IUT)北学生公寓,提出了一种基于软件的屋顶双面太阳能板能量模型设计及仿真方法。该文选用垂直安装模型,对在易间歇断电区域的大学公寓实施该能量模型的可行性及适用性展开了研究。该文采用了3大软件平台,即PVSOL、PVsyst、系统顾问模型(System Advisor Model,SAM),从3个不同的方向进行严格的仿真。在年发电量、双面增益(BG)及电网和光伏模型的能耗覆盖率方面,观察到了令人鼓舞的结果。北学生公寓年需电量约为444733.5 kWh。3个方向的年发电量分别为92508.62、94643.48、86758.94 kWh。故该提议的3个方向的年发电量几乎可提供北学生公寓19%—21%的年用电量。月BG分析结果表明,方向1、方向2、方向3的能量增益分别增加了13%、15.6%、6%。为探究该系统的可行性,该文还对3大软件的仿真结果进行了严格的对比分析与偏差分析。因此,该文充分考虑了各个因素,基于软件对不同方向的PV板发电量进行了详细的评估,可为将来硬件采用提供重要的专业信息及为相关评估提供参考。
2021, 5(3): 426-436.
doi: 10.1093/ce/zkab017
摘要:
印度的住宅建筑所消耗的电力占到了该国电力总消耗量的25%,在各耗电类别中排名第三;2014年至2017年间,住宅建筑的电力消耗量更是增长了26%。印度对住宅建筑出台了一项“节能星级”方案,其适用于该国所有的单户和多户住宅单元。建筑物的能耗绩效指数 (Energy Performance Index, EPI)——即每平方米建筑面积的年能耗(以kWh为单位)——被用作确定某栋住宅建筑节能星级的一项指标。为了对现有建筑物的能耗绩效指数进行衡量,对位于印度德里巴勒姆地区 (Palam, Delhi, India) 的一处居住社区开展了案例研究,以对住宅建筑的用电情况进行明确(以每年每平方米的kWh电量为单位)。收集了为期两年的电费账单数据,并按照印度的住宅节能星级标识方案对数据进行了分析和基准比对。在对现有的建筑给予节能星级评价(最高为五星)后,可以发现不同星级的建筑在能耗绩效指数方面有着巨大的差异。基于现有的电价结构、居民用户的用电情况以及印度能源效率局 (Bureau of Energy Efficiency, BEE) 提出的建筑节能星级方案,安装屋顶式太阳能光伏 (solar photovoltaic, PV) 系统并将其整合入电网的方案,可以提升建筑的节能星级。本文通过在德里进行的案例研究,确定了在印度城市中的住宅建筑安装并网的屋顶式太阳能光伏系统的潜力。利用RETScreen软件对并入电网的3 kWp屋顶式太阳能光伏电站开展技术经济性分析。本研究得出的结论是,通过使用与电网集成的屋顶式太阳能光伏电站,现有的建筑物可以在原有的节能星级上再增加两颗星。在印度城市中改建3 kWp屋顶式太阳能光伏电站的投资回收期为3至7年不等。
印度的住宅建筑所消耗的电力占到了该国电力总消耗量的25%,在各耗电类别中排名第三;2014年至2017年间,住宅建筑的电力消耗量更是增长了26%。印度对住宅建筑出台了一项“节能星级”方案,其适用于该国所有的单户和多户住宅单元。建筑物的能耗绩效指数 (Energy Performance Index, EPI)——即每平方米建筑面积的年能耗(以kWh为单位)——被用作确定某栋住宅建筑节能星级的一项指标。为了对现有建筑物的能耗绩效指数进行衡量,对位于印度德里巴勒姆地区 (Palam, Delhi, India) 的一处居住社区开展了案例研究,以对住宅建筑的用电情况进行明确(以每年每平方米的kWh电量为单位)。收集了为期两年的电费账单数据,并按照印度的住宅节能星级标识方案对数据进行了分析和基准比对。在对现有的建筑给予节能星级评价(最高为五星)后,可以发现不同星级的建筑在能耗绩效指数方面有着巨大的差异。基于现有的电价结构、居民用户的用电情况以及印度能源效率局 (Bureau of Energy Efficiency, BEE) 提出的建筑节能星级方案,安装屋顶式太阳能光伏 (solar photovoltaic, PV) 系统并将其整合入电网的方案,可以提升建筑的节能星级。本文通过在德里进行的案例研究,确定了在印度城市中的住宅建筑安装并网的屋顶式太阳能光伏系统的潜力。利用RETScreen软件对并入电网的3 kWp屋顶式太阳能光伏电站开展技术经济性分析。本研究得出的结论是,通过使用与电网集成的屋顶式太阳能光伏电站,现有的建筑物可以在原有的节能星级上再增加两颗星。在印度城市中改建3 kWp屋顶式太阳能光伏电站的投资回收期为3至7年不等。
2021, 5(3): 437-444.
doi: 10.1093/ce/zkab022
摘要:
本文用扫描电子显微镜(SEM)及能量色散X射线(EDX)分析了番樱桃叶绿素染料太阳能电池的宏观表征。鉴于二氧化钛(TiO2)纳米材料及番樱桃叶绿素染料太阳能电池中含有类黄酮及桦木酸成分,故其效能得以提升。TiO2光电阳极是决定染料敏化太阳能电池(DSSCs)的光伏特性及阴影的基本要素,阴影拓宽了吸收光谱。此外,本文研究采用了多种颜色的番樱桃树叶,即红(SP-红)、绿(SP-绿)、红-绿混合(SP-混合)。SEM宏观分析结果发现TiO2-聚乙二醇(PEG)染料层为聚集体,呈不规则形状。EDX结果发现钛在 5 keV有一个峰,且所有成分均用SP-绿番樱桃树叶及氧钛比为3.47∶1的FTO-TiO2/PEG测试。用数字万能表测量电压-电流(IV),结果表明SP-绿DSSC效果最好,其短路电流密度(ISC)为0.0047 mA/cm2,开路电压(Voc)为0.432 V,充电系数(FF)为0.749,效率(η)为3.724%。
本文用扫描电子显微镜(SEM)及能量色散X射线(EDX)分析了番樱桃叶绿素染料太阳能电池的宏观表征。鉴于二氧化钛(TiO2)纳米材料及番樱桃叶绿素染料太阳能电池中含有类黄酮及桦木酸成分,故其效能得以提升。TiO2光电阳极是决定染料敏化太阳能电池(DSSCs)的光伏特性及阴影的基本要素,阴影拓宽了吸收光谱。此外,本文研究采用了多种颜色的番樱桃树叶,即红(SP-红)、绿(SP-绿)、红-绿混合(SP-混合)。SEM宏观分析结果发现TiO2-聚乙二醇(PEG)染料层为聚集体,呈不规则形状。EDX结果发现钛在 5 keV有一个峰,且所有成分均用SP-绿番樱桃树叶及氧钛比为3.47∶1的FTO-TiO2/PEG测试。用数字万能表测量电压-电流(IV),结果表明SP-绿DSSC效果最好,其短路电流密度(ISC)为0.0047 mA/cm2,开路电压(Voc)为0.432 V,充电系数(FF)为0.749,效率(η)为3.724%。
2021, 5(3): 470-480.
doi: 10.1093/ce/zkab021
摘要:
最近,马来西亚政府制定了可再生能源发电目标,即到2025年实现20%的发电目标。尽管十余年来马来西亚为提升可再生能源的利用率,采取了一系列措施,但至今马来西亚半岛仍有逾四分之三的电力供应来自化石燃料的燃烧。显而易见,可再生能源的发展极为缓慢,仍处于起步阶段。现研究旨在识别出影响巴生谷居民采用太阳能光伏技术(PV)意愿的预测因素(如环保主义、成本、知识及个人创新能力)。该研究以技术接受模型为理论框架来分析采用太阳能光伏技术的决定因素及意愿对感知易用性及感知有用性的中介效应。该研究采用自填问卷的形式来收集巴生谷非太阳能光伏用户的信息,并对200个数据收集的样本进行了结构方程建模分析。研究结果发现:环保主义对采用太阳能光伏技术的意愿影响最为显著,其次为知识。对预测因素及采用太阳能光伏技术的意愿而言,感知有用性起到了中介效应,但未发现感知易用性有此类中介效应。论文最后多次强调,决策者及太阳能市场业内人士应改善现有政策、提高住宅太阳能光伏采用率。
最近,马来西亚政府制定了可再生能源发电目标,即到2025年实现20%的发电目标。尽管十余年来马来西亚为提升可再生能源的利用率,采取了一系列措施,但至今马来西亚半岛仍有逾四分之三的电力供应来自化石燃料的燃烧。显而易见,可再生能源的发展极为缓慢,仍处于起步阶段。现研究旨在识别出影响巴生谷居民采用太阳能光伏技术(PV)意愿的预测因素(如环保主义、成本、知识及个人创新能力)。该研究以技术接受模型为理论框架来分析采用太阳能光伏技术的决定因素及意愿对感知易用性及感知有用性的中介效应。该研究采用自填问卷的形式来收集巴生谷非太阳能光伏用户的信息,并对200个数据收集的样本进行了结构方程建模分析。研究结果发现:环保主义对采用太阳能光伏技术的意愿影响最为显著,其次为知识。对预测因素及采用太阳能光伏技术的意愿而言,感知有用性起到了中介效应,但未发现感知易用性有此类中介效应。论文最后多次强调,决策者及太阳能市场业内人士应改善现有政策、提高住宅太阳能光伏采用率。
2021, 5(3): 483-498.
doi: 10.1093/ce/zkab028
摘要:
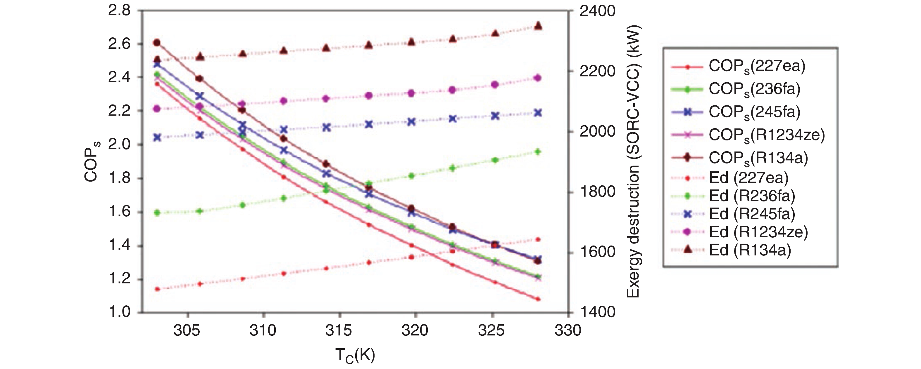
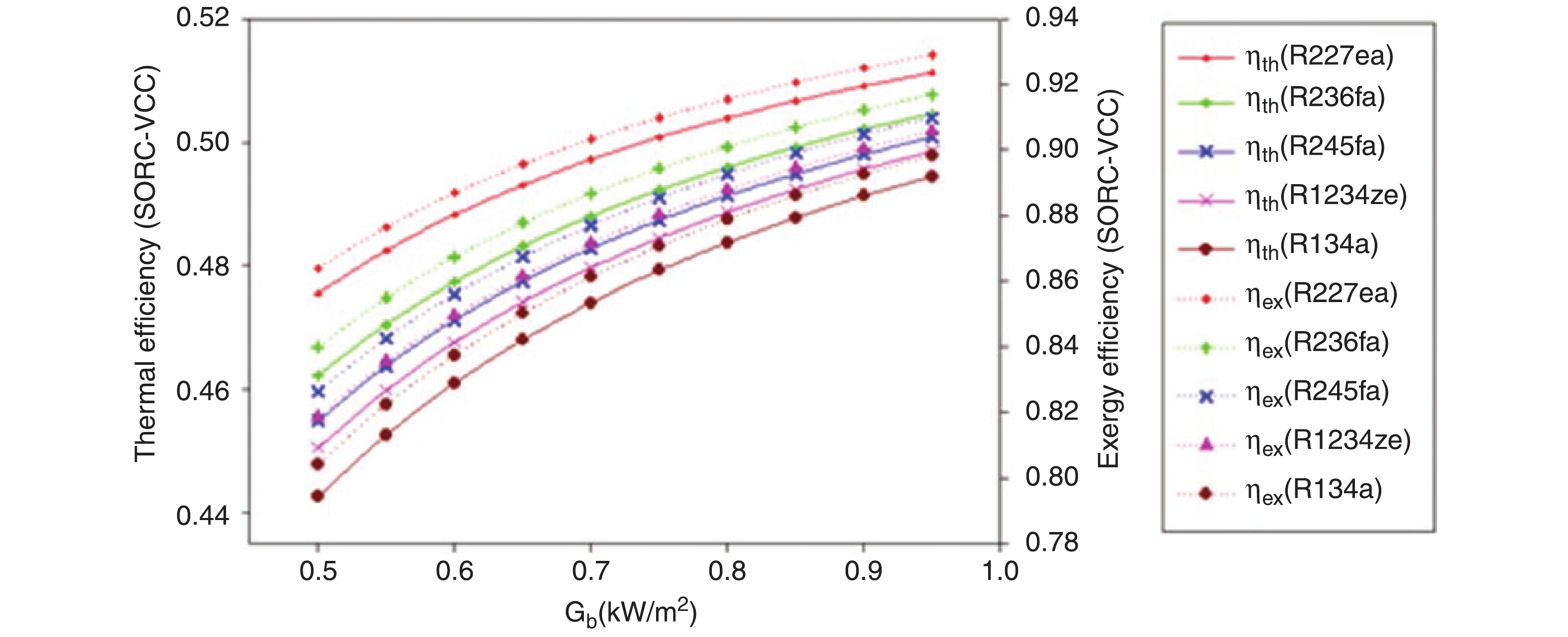
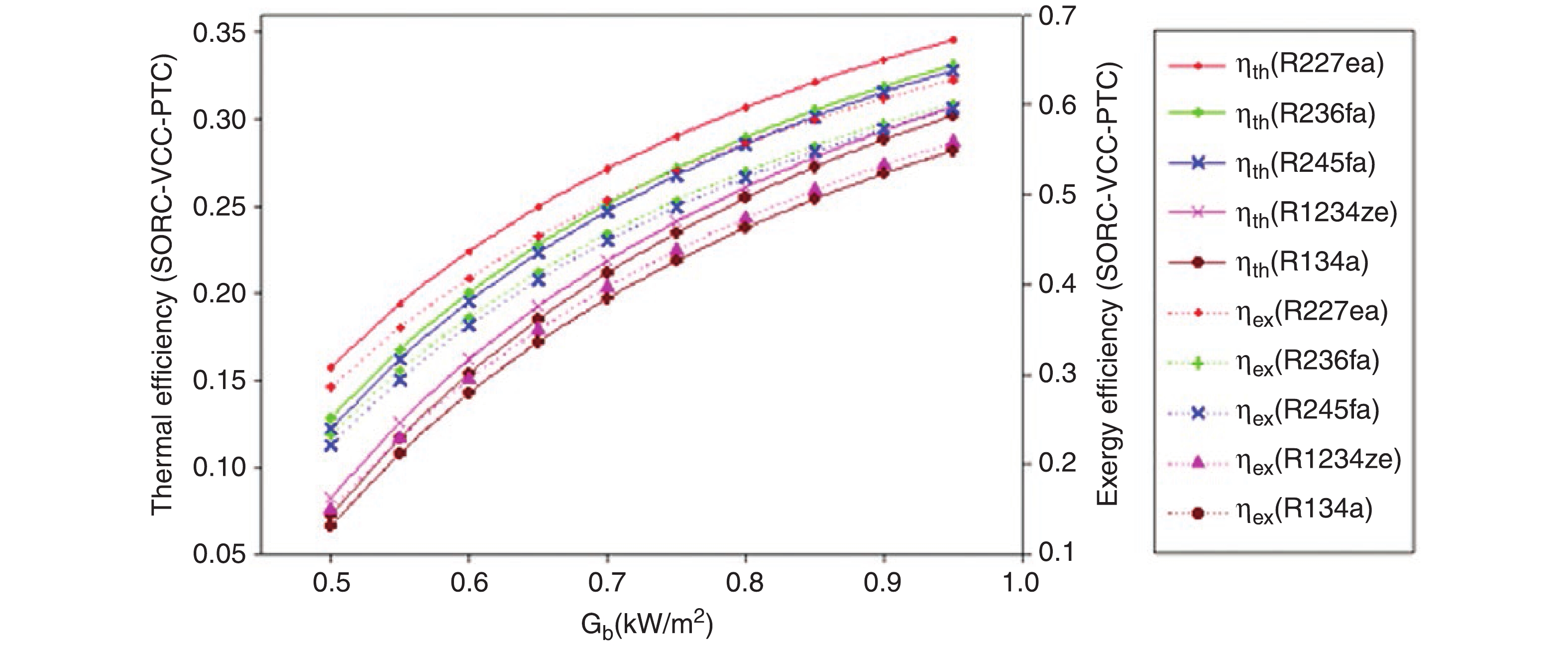
本文对抛物面槽式太阳能集热器(parabolic trough collectors,PTCs)驱动的超临界有机朗肯循环与蒸汽压缩制冷循环耦合构成的冷电联合供能系统进行了参数分析。分析参数主要包括热效率、㶲效率、㶲损和系统性能系数,参数分析过程由一套新开发的工程方程求解计算程序实现。通过分析,讨论了PTCs设计参数(如太阳辐射、太阳光束入射角和吸收管内传热流体速度)、涡轮进口压力、冷凝器和蒸发器温度对联供系统性能的影响。此外,还对联供系统耦合和未耦合PTCs的工况进行了系统性能对比。在太阳辐射强度为0.95 kW/m2的工况下,该联供系统(循环工质为R227ea)的最大㶲效率、热效率和㶲损分别为92.9%、51.13%和1437 kW;若采用R134a做循环工质,联供系统的最大性能系数为2.278。分析结果还表明:PTCs的㶲损占整个系统的76.32%,在不考虑太阳能性能的情况下,联供系统的性能表现良好。
本文对抛物面槽式太阳能集热器(parabolic trough collectors,PTCs)驱动的超临界有机朗肯循环与蒸汽压缩制冷循环耦合构成的冷电联合供能系统进行了参数分析。分析参数主要包括热效率、㶲效率、㶲损和系统性能系数,参数分析过程由一套新开发的工程方程求解计算程序实现。通过分析,讨论了PTCs设计参数(如太阳辐射、太阳光束入射角和吸收管内传热流体速度)、涡轮进口压力、冷凝器和蒸发器温度对联供系统性能的影响。此外,还对联供系统耦合和未耦合PTCs的工况进行了系统性能对比。在太阳辐射强度为0.95 kW/m2的工况下,该联供系统(循环工质为R227ea)的最大㶲效率、热效率和㶲损分别为92.9%、51.13%和1437 kW;若采用R134a做循环工质,联供系统的最大性能系数为2.278。分析结果还表明:PTCs的㶲损占整个系统的76.32%,在不考虑太阳能性能的情况下,联供系统的性能表现良好。
2021, 5(3): 536-543.
doi: 10.1093/ce/zkab038
摘要:
鉴于生物油产率低,燃料特性差,故以热解生产并不经济,且应用亦受限制。欲生产出高质量无需过多升级处理的生物油,正确操作热解变量是关键。本文选用龟壳煅烧而得的氧化钙为催化剂,于固定床反应器上热解猪毛。热解时,用响应面分析法研究了三变量(温度、加热速率及催化剂重量)对两响应(生物油产量、高热值(HHV))的影响。本文业已得出各响应的二阶回归模型方程。当热解温度为545 ℃,加热速率为45.17 ℃/min,催化剂重量为2.504 g时,可得生物油的最佳两响应:产量为51.03%,HHV为21.87 mJ/kg。用方差分析计算得出模型中生物油产量的R2值及HHV的R2值,二者分别为0.9859、0.9527,这表明该模型足以预测热解时的生物油产量及HHV。
鉴于生物油产率低,燃料特性差,故以热解生产并不经济,且应用亦受限制。欲生产出高质量无需过多升级处理的生物油,正确操作热解变量是关键。本文选用龟壳煅烧而得的氧化钙为催化剂,于固定床反应器上热解猪毛。热解时,用响应面分析法研究了三变量(温度、加热速率及催化剂重量)对两响应(生物油产量、高热值(HHV))的影响。本文业已得出各响应的二阶回归模型方程。当热解温度为545 ℃,加热速率为45.17 ℃/min,催化剂重量为2.504 g时,可得生物油的最佳两响应:产量为51.03%,HHV为21.87 mJ/kg。用方差分析计算得出模型中生物油产量的R2值及HHV的R2值,二者分别为0.9859、0.9527,这表明该模型足以预测热解时的生物油产量及HHV。
2021, 5(3): 544-557.
doi: 10.1093/ce/zkab030
摘要:
未来能否充分利用水资源优势开发太阳能资源,内陆漂浮式光伏电站(IFPPP)是关键。识别投资风险是大规模推进光伏项目的重要前提。因此,本文提出了一个评估中国IFPPP投资风险的模型。首先从4个层面识别出投资风险因素,建立风险评估指标系统,并采用犹豫模糊语言术语集及三角模糊数刻画指标数据,从而保证指标数据的准确性与完整性。随后综合考虑了主观偏好及客观公平性对投资风险的影响,用最优最劣法及熵法相结合的加权方法确定各指标权重。其研究结果显示,中国IFPPP总投资风险为“中低”水平。此外,本文还对投资风险进行敏感性分析与比较分析,以此检验评估结果的稳定性。最后,本文从技术层面、经济层面、社会层面以及环境层面对中国发展IFPPP提出了风险应对策略。
未来能否充分利用水资源优势开发太阳能资源,内陆漂浮式光伏电站(IFPPP)是关键。识别投资风险是大规模推进光伏项目的重要前提。因此,本文提出了一个评估中国IFPPP投资风险的模型。首先从4个层面识别出投资风险因素,建立风险评估指标系统,并采用犹豫模糊语言术语集及三角模糊数刻画指标数据,从而保证指标数据的准确性与完整性。随后综合考虑了主观偏好及客观公平性对投资风险的影响,用最优最劣法及熵法相结合的加权方法确定各指标权重。其研究结果显示,中国IFPPP总投资风险为“中低”水平。此外,本文还对投资风险进行敏感性分析与比较分析,以此检验评估结果的稳定性。最后,本文从技术层面、经济层面、社会层面以及环境层面对中国发展IFPPP提出了风险应对策略。
2021, 5(3): 445-450.
doi: 10.1093/ce/zkab025
摘要:
风能、太阳能及水能所制绿氢适合作为储电介质。氢常用于中长期储能,而电池则常用于短期储能。如果电解是由可再生电提供的,则绿氢可用任一可用的电解器技术[碱性电解槽(AEC)、聚合物电解质膜(PEM)、阴离子交换膜(AEM)、固体氧化物电解槽(SOEC)]制备。如电解于加压条件下进行,则将液态氢直接置入无任何外部加压的普通压力容器内储存是气态氢最简单的储存方法。燃料电池是利用氢发电最有效的方法。PEM燃料电池似是最佳方法。为提高燃料电池及电解器的容量因素,可通过使用同一堆垛将两项功能集成到同一设备中。本文提出了各种可逆技术,罗列了其优点及就绪等级,并讨论了其潜在局限性。
风能、太阳能及水能所制绿氢适合作为储电介质。氢常用于中长期储能,而电池则常用于短期储能。如果电解是由可再生电提供的,则绿氢可用任一可用的电解器技术[碱性电解槽(AEC)、聚合物电解质膜(PEM)、阴离子交换膜(AEM)、固体氧化物电解槽(SOEC)]制备。如电解于加压条件下进行,则将液态氢直接置入无任何外部加压的普通压力容器内储存是气态氢最简单的储存方法。燃料电池是利用氢发电最有效的方法。PEM燃料电池似是最佳方法。为提高燃料电池及电解器的容量因素,可通过使用同一堆垛将两项功能集成到同一设备中。本文提出了各种可逆技术,罗列了其优点及就绪等级,并讨论了其潜在局限性。
2021, 5(3): 451-469.
doi: 10.1093/ce/zkab024
摘要:
若干项重大的市场失灵阻碍了可再生能源的生产。其中最重要的一项失灵可能就是负外部效应(negative externality)。阻碍可再生能源生产的另一个问题则是其在技术和商业上均不够成熟。如果没有国家层级的干预,这些技术在短期内是无法实现商业化的。本研究旨在对芬兰的能源政策进行分析,依托的基础是与可再生能源生产相关的现行法规以及与可再生能源补贴相关的预算政策。本研究的结果表明,得益于排放交易机制和税收措施,“谁污染谁付费”的原则在芬兰得到了很好的落实。尽管如此,这一原则尚未完全在电力行业中得到贯彻,原因在于电力税的税基并非发电所用燃料的碳排放强度,而是电力用户的类型。国家补贴政策的重点是可再生能源产量的短期增长,这是因为大部分的补贴都是通过招标过程给予的生产性补贴,所以在一定程度上与生产技术无关。这些政策未能尽最大可能地考虑对能源政策的长期需求。
若干项重大的市场失灵阻碍了可再生能源的生产。其中最重要的一项失灵可能就是负外部效应(negative externality)。阻碍可再生能源生产的另一个问题则是其在技术和商业上均不够成熟。如果没有国家层级的干预,这些技术在短期内是无法实现商业化的。本研究旨在对芬兰的能源政策进行分析,依托的基础是与可再生能源生产相关的现行法规以及与可再生能源补贴相关的预算政策。本研究的结果表明,得益于排放交易机制和税收措施,“谁污染谁付费”的原则在芬兰得到了很好的落实。尽管如此,这一原则尚未完全在电力行业中得到贯彻,原因在于电力税的税基并非发电所用燃料的碳排放强度,而是电力用户的类型。国家补贴政策的重点是可再生能源产量的短期增长,这是因为大部分的补贴都是通过招标过程给予的生产性补贴,所以在一定程度上与生产技术无关。这些政策未能尽最大可能地考虑对能源政策的长期需求。
2021, 5(3): 481-482.
doi: 10.1093/ce/zkab026
摘要:
2021, 5(3): 512-535.
doi: 10.1093/ce/zkab031
摘要:
归因于环境问题及高昂的化石燃料成本,清洁能源技术深受世人欢迎。如今,光伏电池成为现代建筑一体化中最为著名的技术之一。尤其与建筑物的窗户及立面相结合的光伏电池更是引起了研究人员及设计人员的广泛关注,究其原因在于此类光伏电池与建筑物的典型窗户或立面结合,可通过产生清洁电力有效减少对城市电力的需求。已工业化生产的四代光伏电池中,越来越多的第三代光伏电池应用到建筑物立面及窗户中。包含染料敏化太阳能电池(dye-sensitized solar cells,DSSC)及钙钛矿太阳能电池。鉴于这些电池的特性,对其透明度、色彩效果、能量消耗等方面进行了深入的研究。至今,此类案件研究多侧重其在建筑一体化中的各大特征。因此,本文旨在就其实践及性能特征、技术局限性提出建议性的意见,供研究人员及设计人员参考。
归因于环境问题及高昂的化石燃料成本,清洁能源技术深受世人欢迎。如今,光伏电池成为现代建筑一体化中最为著名的技术之一。尤其与建筑物的窗户及立面相结合的光伏电池更是引起了研究人员及设计人员的广泛关注,究其原因在于此类光伏电池与建筑物的典型窗户或立面结合,可通过产生清洁电力有效减少对城市电力的需求。已工业化生产的四代光伏电池中,越来越多的第三代光伏电池应用到建筑物立面及窗户中。包含染料敏化太阳能电池(dye-sensitized solar cells,DSSC)及钙钛矿太阳能电池。鉴于这些电池的特性,对其透明度、色彩效果、能量消耗等方面进行了深入的研究。至今,此类案件研究多侧重其在建筑一体化中的各大特征。因此,本文旨在就其实践及性能特征、技术局限性提出建议性的意见,供研究人员及设计人员参考。




扫一扫,关注我们