2021年5卷1期
显示方式: |
2021, 5(1): 1-10.
doi: 10.1093/ce/zkaa022
摘要:
在减缓气候变化以及实现一系列发展目标的过程中,清洁的烹饪能源会起到关键的作用,特别是在改善妇女和儿童的福祉方面。烹饪中使用固体生物质燃料不仅燃烧效率低,还会产生室内空气污染,对健康有害,同时也会对森林资源造成压力。本文对尼泊尔迄今为止的烹饪用能源转型情况进行了综述。尽管尼泊尔政府和其他参与者为加速烹饪能源转型作出了许多努力,但2000—2018年的能源数据显示,该国约69%的家庭在烹饪中至今仍然依赖固体燃料。农村地区固体燃料的用户比例特别高,超过了80%。此外,如果不加快目前的进展速度,那么即使到2030年,固体燃料的使用量仍将保持较高水平,从而会阻碍《可持续发展目标》(Sustainable Development Goal, SDG) 第7项目标的实现。烹饪燃料的选择受可获得性以及人口和社会经济因素的严重制约。因此,本文建议紧急部署综合性循证政策与策略,以促进更有效且快速地向清洁能源转型,这对于实现《可持续发展目标》第7项目标至关重要。
在减缓气候变化以及实现一系列发展目标的过程中,清洁的烹饪能源会起到关键的作用,特别是在改善妇女和儿童的福祉方面。烹饪中使用固体生物质燃料不仅燃烧效率低,还会产生室内空气污染,对健康有害,同时也会对森林资源造成压力。本文对尼泊尔迄今为止的烹饪用能源转型情况进行了综述。尽管尼泊尔政府和其他参与者为加速烹饪能源转型作出了许多努力,但2000—2018年的能源数据显示,该国约69%的家庭在烹饪中至今仍然依赖固体燃料。农村地区固体燃料的用户比例特别高,超过了80%。此外,如果不加快目前的进展速度,那么即使到2030年,固体燃料的使用量仍将保持较高水平,从而会阻碍《可持续发展目标》(Sustainable Development Goal, SDG) 第7项目标的实现。烹饪燃料的选择受可获得性以及人口和社会经济因素的严重制约。因此,本文建议紧急部署综合性循证政策与策略,以促进更有效且快速地向清洁能源转型,这对于实现《可持续发展目标》第7项目标至关重要。
2021, 5(1): 18-30.
doi: 10.1093/ce/zkaa026
摘要:
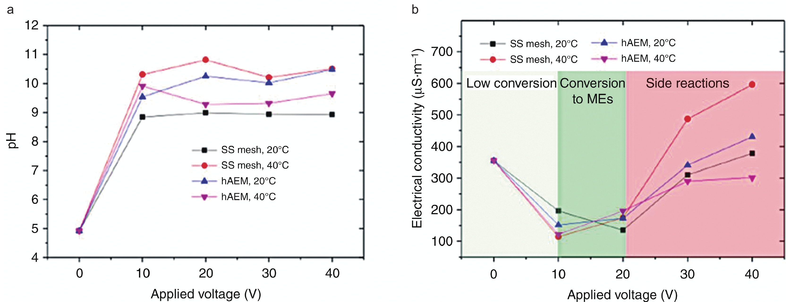
生物柴油是一种具有良好的理化性能和环保效益的重要替代燃料,一般由植物油制成。然而,成本是生物柴油商业化的主要障碍之一。其传统酯交换生产工艺需要高温和特殊催化剂,由于许多催化剂存在不同方面的缺点,人们正在积极考虑不需要高温的电催化工艺。此外,电催化过程可在催化剂或助溶剂存在或不存在的情况下进行。本文综述了诸如电解电压、搅拌速率、电极类型、含水量、共溶剂类型、反应温度、反应时间、油/甲醇摩尔比和氯化钠浓度等参数对电催化酯交换过程的影响。
生物柴油是一种具有良好的理化性能和环保效益的重要替代燃料,一般由植物油制成。然而,成本是生物柴油商业化的主要障碍之一。其传统酯交换生产工艺需要高温和特殊催化剂,由于许多催化剂存在不同方面的缺点,人们正在积极考虑不需要高温的电催化工艺。此外,电催化过程可在催化剂或助溶剂存在或不存在的情况下进行。本文综述了诸如电解电压、搅拌速率、电极类型、含水量、共溶剂类型、反应温度、反应时间、油/甲醇摩尔比和氯化钠浓度等参数对电催化酯交换过程的影响。
2021, 5(1): 44-57.
doi: 10.1093/ce/zkaa031
摘要:
有关能源系统建模和运行的方法一般是基于系统设计和性能优化。在系统设计优化中,供热/电系统的热工特性或机械特性是单独得出的,并未与能量源进行集成,亦未与需求互相结合,因此其能源效率较为低下。本文主要综述了生物质热电联产(biomass-powered combined heat and power,BCHP)区域供热系统以及耦合储热后系统的应用情况。在生物质热电联产设计中,区域供热系统的组件优化配置非常重要,可提供最优的调度策略,也可在与储热配合时实现成本和环境影响的最小化。另外,本文还对区域能源系统未来应用生物质能源系统的可行性、评价与集成方式进行了讨论。
有关能源系统建模和运行的方法一般是基于系统设计和性能优化。在系统设计优化中,供热/电系统的热工特性或机械特性是单独得出的,并未与能量源进行集成,亦未与需求互相结合,因此其能源效率较为低下。本文主要综述了生物质热电联产(biomass-powered combined heat and power,BCHP)区域供热系统以及耦合储热后系统的应用情况。在生物质热电联产设计中,区域供热系统的组件优化配置非常重要,可提供最优的调度策略,也可在与储热配合时实现成本和环境影响的最小化。另外,本文还对区域能源系统未来应用生物质能源系统的可行性、评价与集成方式进行了讨论。
2021, 5(1): 11-17.
doi: 10.1093/ce/zkaa025
摘要:
水力发电(简称水电)作为中国第二大常规能源资源,是技术成熟、运行灵活、清洁低碳的可再生能源,具有防洪、供水、航运、灌溉等综合利用功能。在中国新时期“四个革命、一个合作”新能源安全战略和“创新、协调、绿色、开放、共享”新发展理念指引下,本文基于水电的“水”“电”双重属性,从世界水电经验启示、中国水电难点问题、水电企业长远发展等维度对水电进行探讨,深化了对水电的基本认识,并对水电未来的发展方向进行了探索,其主要体现为从高质量开发后续水电项目、创新性发挥既有水电价值、创造性寻求水电效益增长、高水平推动水电国际合作等。
水力发电(简称水电)作为中国第二大常规能源资源,是技术成熟、运行灵活、清洁低碳的可再生能源,具有防洪、供水、航运、灌溉等综合利用功能。在中国新时期“四个革命、一个合作”新能源安全战略和“创新、协调、绿色、开放、共享”新发展理念指引下,本文基于水电的“水”“电”双重属性,从世界水电经验启示、中国水电难点问题、水电企业长远发展等维度对水电进行探讨,深化了对水电的基本认识,并对水电未来的发展方向进行了探索,其主要体现为从高质量开发后续水电项目、创新性发挥既有水电价值、创造性寻求水电效益增长、高水平推动水电国际合作等。
2021, 5(1): 31-43.
doi: 10.1093/ce/zkaa028
摘要:
本文提出两个概率可靠性指数,来衡量云层对不同类型光伏建筑一体化(Building Integrated Photovoltaic,BIPV)系统的影响。现有的指标与光伏(Photovoltaic,PV)源的主要特征不匹配,如可变性、不确定性、对天气条件的依赖性等。此外,它们是时间指数,描述每年总故障时间的百分比,不能对任何发电或能量不匹配的情况进行指示。通过现有的地理信息系统太阳辐射数据库,本文提出的指数将类似于预期每日太阳辐射的模式视为一个光伏系统模型。针对不同的建筑负载,研究了两种不同的模型:针对感性负载的能量模型和针对阻性负载的恒-功率模型。对开罗、伦敦、柏林、北京、马德里和利雅得6个不同地点进行了比较研究。此外,本文还研究了3种类型的BIPV系统:固定、双轴跟踪和聚光光伏系统。研究结果显示了云层、光伏类型和所处地点对系统性能的影响。
本文提出两个概率可靠性指数,来衡量云层对不同类型光伏建筑一体化(Building Integrated Photovoltaic,BIPV)系统的影响。现有的指标与光伏(Photovoltaic,PV)源的主要特征不匹配,如可变性、不确定性、对天气条件的依赖性等。此外,它们是时间指数,描述每年总故障时间的百分比,不能对任何发电或能量不匹配的情况进行指示。通过现有的地理信息系统太阳辐射数据库,本文提出的指数将类似于预期每日太阳辐射的模式视为一个光伏系统模型。针对不同的建筑负载,研究了两种不同的模型:针对感性负载的能量模型和针对阻性负载的恒-功率模型。对开罗、伦敦、柏林、北京、马德里和利雅得6个不同地点进行了比较研究。此外,本文还研究了3种类型的BIPV系统:固定、双轴跟踪和聚光光伏系统。研究结果显示了云层、光伏类型和所处地点对系统性能的影响。
2021, 5(1): 58-76.
doi: 10.1093/ce/zkaa030
摘要:
发展中国家对增加电力供应的需求非常迫切。在苏丹,尤其是其北部地区,太阳能发电有很大的发展空间。本研究的重点是使用PVsyst 7.0软件程序设计一个位于苏丹北部的1 GW太阳能电站。我们评估了14条标准以确定该电站的合适位置,且评估依据是通用的,可以运用在其他任何国家。经济评估中说明了进行现金流估算和投资回报的方法。最终选定北方州首府栋古拉(Dongola)作为建设地点,因其在水平面上年辐射量很高,达到约2333.2 kW·h/m2。仿真结果表明,光伏(photovoltaic,PV)组件的最佳倾角为30°,可产生1 979 259 MW·h/a的电力,且年平均性能率为0.810。苏丹人均电力消耗为269 kW·h/a,因此拟建的1 979 259 MW·h/a太阳能发电厂每年可为740万人提供能源,并将减少约1800万t的二氧化碳排放量。经济计算表明,平均电力成本(levelized cost of energy,LCOE)为$0.06/kW·h,折现投资回报期约为11年,净现值为$635 291 000。因此,从经济、技术、环境的角度看,拟建的苏丹并网光伏太阳能电站是可行的。
发展中国家对增加电力供应的需求非常迫切。在苏丹,尤其是其北部地区,太阳能发电有很大的发展空间。本研究的重点是使用PVsyst 7.0软件程序设计一个位于苏丹北部的1 GW太阳能电站。我们评估了14条标准以确定该电站的合适位置,且评估依据是通用的,可以运用在其他任何国家。经济评估中说明了进行现金流估算和投资回报的方法。最终选定北方州首府栋古拉(Dongola)作为建设地点,因其在水平面上年辐射量很高,达到约2333.2 kW·h/m2。仿真结果表明,光伏(photovoltaic,PV)组件的最佳倾角为30°,可产生1 979 259 MW·h/a的电力,且年平均性能率为0.810。苏丹人均电力消耗为269 kW·h/a,因此拟建的1 979 259 MW·h/a太阳能发电厂每年可为740万人提供能源,并将减少约1800万t的二氧化碳排放量。经济计算表明,平均电力成本(levelized cost of energy,LCOE)为$0.06/kW·h,折现投资回报期约为11年,净现值为$635 291 000。因此,从经济、技术、环境的角度看,拟建的苏丹并网光伏太阳能电站是可行的。
2021, 5(1): 77-88.
doi: 10.1093/ce/zkaa023
摘要:
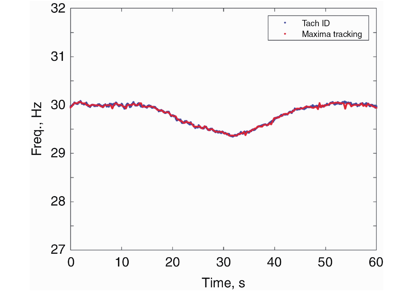
利用转速信息对振动信号进行分析,是旋转机械特别是变速运行机械故障诊断和状态监测的重要手段,但在一些特殊工况下,轴转速信息是无法直接获得的。好在在绝大多数情况下,轴转速信息以各种不同的形式嵌入振动响应中,例如轴转动频率基频响应及其谐波,齿轮啮合频率响应及其谐波;而使用适当的信号处理方法,便可以从测得的振动响应中提取轴的瞬时转速信息。现有的瞬时转速识别方法往往直接或间接采用窄带通滤波技术。但是在一个复杂的齿轮箱系统中,例如在风电机组中使用的齿轮箱系统,由于齿轮箱的配置或由于损伤部件的存在,齿轮啮合响应可能会被许多其他轴转速调制。因此,很难将单个振动响应分量分离出来进行瞬时轴速检测。本文提出了一种新的方法:基于振动响应谱的最大值跟踪提取瞬时轴转速,采用数值积分法求解轴的瞬时相位;然后利用瞬时相位信息对振动数据进行数字域同步重采样。由于数值积分的噪声抑制特性,同步采样的精度有了很大的提高。通过一个实验室受控试验和两个现场风电机组案例,该方法的可行性和工程适用性得到了验证。本文最后给出了详细的研究结果和结论。
利用转速信息对振动信号进行分析,是旋转机械特别是变速运行机械故障诊断和状态监测的重要手段,但在一些特殊工况下,轴转速信息是无法直接获得的。好在在绝大多数情况下,轴转速信息以各种不同的形式嵌入振动响应中,例如轴转动频率基频响应及其谐波,齿轮啮合频率响应及其谐波;而使用适当的信号处理方法,便可以从测得的振动响应中提取轴的瞬时转速信息。现有的瞬时转速识别方法往往直接或间接采用窄带通滤波技术。但是在一个复杂的齿轮箱系统中,例如在风电机组中使用的齿轮箱系统,由于齿轮箱的配置或由于损伤部件的存在,齿轮啮合响应可能会被许多其他轴转速调制。因此,很难将单个振动响应分量分离出来进行瞬时轴速检测。本文提出了一种新的方法:基于振动响应谱的最大值跟踪提取瞬时轴转速,采用数值积分法求解轴的瞬时相位;然后利用瞬时相位信息对振动数据进行数字域同步重采样。由于数值积分的噪声抑制特性,同步采样的精度有了很大的提高。通过一个实验室受控试验和两个现场风电机组案例,该方法的可行性和工程适用性得到了验证。本文最后给出了详细的研究结果和结论。
2021, 5(1): 89-98.
doi: 10.1093/ce/zkaa027
摘要:
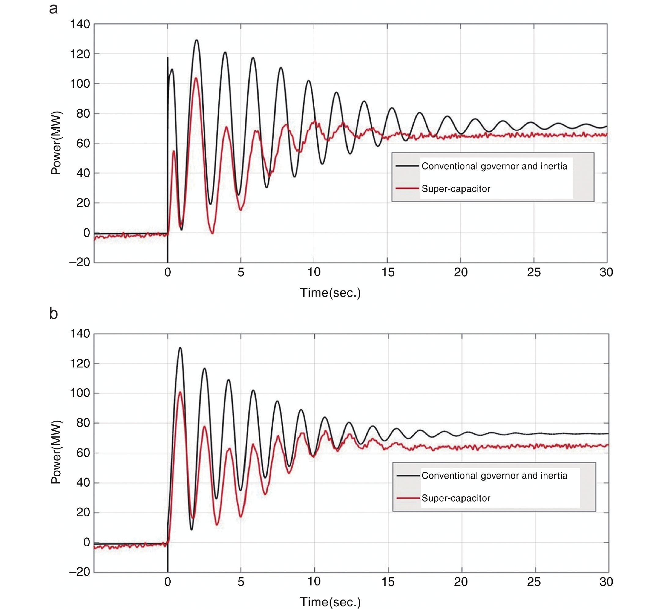
大型风电场接入电网将会使电网运营商面临众多挑战。除了风能的波动性和随机性外,同一电网中不同发电技术之间的协调也构成了主要问题,特别是短期频率稳定性的问题。因此,现代电网中大量接入的风电将给电力系统的频率稳定性带来挑战。风电厂与传统火电厂的特性不同,尤其是风能的波动特性导致发电功率不足的情形经常发生。从现有的经验来看,风电场常运用减载技术将部分可用的风电从电网中卸除。不同减载技术的应用通常是为了模拟火力发电厂的调速器功能,以应对发电功率短缺的情况。减载技术会不断地从最大跟踪点降低风电厂的功率,导致风电场的实际容量、年发电量和经济收入都有所下降。此外,为火电厂常规响应机制而设定的电网保护和控制子方案将会增加对发电厂特性仿真的需求。本文未使用传统减载技术,而是提出了一种基于风电机组的超级电容器方案,以模拟传统发电厂的响应机制。本研究讨论了在风电厂规划阶段增加超级电容器的技术优势和经济效益,选择受限制的频率网格编码指标来评估所研究的特性,IEEE四机二区系统的仿真结果从技术上判定了所提方案的有效性。系统顾问模型(System Advisor Model,SAM)程序对一个典型的美国研究案例的经济效益进行了评估,并与现有的风电减载技术进行了比较。
大型风电场接入电网将会使电网运营商面临众多挑战。除了风能的波动性和随机性外,同一电网中不同发电技术之间的协调也构成了主要问题,特别是短期频率稳定性的问题。因此,现代电网中大量接入的风电将给电力系统的频率稳定性带来挑战。风电厂与传统火电厂的特性不同,尤其是风能的波动特性导致发电功率不足的情形经常发生。从现有的经验来看,风电场常运用减载技术将部分可用的风电从电网中卸除。不同减载技术的应用通常是为了模拟火力发电厂的调速器功能,以应对发电功率短缺的情况。减载技术会不断地从最大跟踪点降低风电厂的功率,导致风电场的实际容量、年发电量和经济收入都有所下降。此外,为火电厂常规响应机制而设定的电网保护和控制子方案将会增加对发电厂特性仿真的需求。本文未使用传统减载技术,而是提出了一种基于风电机组的超级电容器方案,以模拟传统发电厂的响应机制。本研究讨论了在风电厂规划阶段增加超级电容器的技术优势和经济效益,选择受限制的频率网格编码指标来评估所研究的特性,IEEE四机二区系统的仿真结果从技术上判定了所提方案的有效性。系统顾问模型(System Advisor Model,SAM)程序对一个典型的美国研究案例的经济效益进行了评估,并与现有的风电减载技术进行了比较。
2021, 5(1): 121-137.
doi: 10.1093/ce/zkab001
摘要:
为实现可持续性交通运输,可以考虑下面两种方法:第一是机动车辆电力化;第二是用化石燃料代替内燃机(ICE)汽车使用的生物燃料。本文就机动车辆通过使用生物燃料的方式实现CO2中和能源系统的多种可能场景进行了分析,同时也研究了生物甲烷的生产、输配和使用。作为对此前发表的工作的更新,本研究以这些不同的场景为重点,在其中对影响生产和使用过程整体效率的诸多参数进行了考察。本研究使用了燃料生命周期,也称为“从油气井到车轮”(Well-to-Wheel)的分析方法,估算出了一次能源的节约量和温室气体的减排量(相较于使用化石来源甲烷的情况以及相较于其他的燃料和机动车技术)。特别地,本研究表明,生物甲烷的不可再生性一次能源消耗量(Non-Renewable Primary Energy Consumption,NRPEC)略高于生物柴油(+9%),但显著低于被分析的所有其他动力系统:相较于电池电动汽车(Battery Electric Vehicle,BEV)和生物乙醇分别低69%和55%。生物甲烷的NRPEC降低至化石来源天然气的近三分之一(后者为前者的2.81倍)。在CO2的排放量方面,生物甲烷的数值是最低的:相较于电池电动汽车、生物乙醇和生物柴油分别低69%、176%和124%。生物甲烷的CO2排放量降低至化石来源天然气的三分之一以下(后者为前者的3.55倍)。此外,本研究的结果表明生物甲烷完全可以替代意大利的机动车辆对化石来源甲烷的需求,并提出了两种不同的假设:最大生产量和最小生产量。显然,生物甲烷的生产量完全可以替代机动车辆对化石来源甲烷的需求量:这意味着,在机动车辆中使用生物甲烷,NRPEC年消耗量减少28.9×106 GJ、CO2年排放量减少1.9×106 t。
为实现可持续性交通运输,可以考虑下面两种方法:第一是机动车辆电力化;第二是用化石燃料代替内燃机(ICE)汽车使用的生物燃料。本文就机动车辆通过使用生物燃料的方式实现CO2中和能源系统的多种可能场景进行了分析,同时也研究了生物甲烷的生产、输配和使用。作为对此前发表的工作的更新,本研究以这些不同的场景为重点,在其中对影响生产和使用过程整体效率的诸多参数进行了考察。本研究使用了燃料生命周期,也称为“从油气井到车轮”(Well-to-Wheel)的分析方法,估算出了一次能源的节约量和温室气体的减排量(相较于使用化石来源甲烷的情况以及相较于其他的燃料和机动车技术)。特别地,本研究表明,生物甲烷的不可再生性一次能源消耗量(Non-Renewable Primary Energy Consumption,NRPEC)略高于生物柴油(+9%),但显著低于被分析的所有其他动力系统:相较于电池电动汽车(Battery Electric Vehicle,BEV)和生物乙醇分别低69%和55%。生物甲烷的NRPEC降低至化石来源天然气的近三分之一(后者为前者的2.81倍)。在CO2的排放量方面,生物甲烷的数值是最低的:相较于电池电动汽车、生物乙醇和生物柴油分别低69%、176%和124%。生物甲烷的CO2排放量降低至化石来源天然气的三分之一以下(后者为前者的3.55倍)。此外,本研究的结果表明生物甲烷完全可以替代意大利的机动车辆对化石来源甲烷的需求,并提出了两种不同的假设:最大生产量和最小生产量。显然,生物甲烷的生产量完全可以替代机动车辆对化石来源甲烷的需求量:这意味着,在机动车辆中使用生物甲烷,NRPEC年消耗量减少28.9×106 GJ、CO2年排放量减少1.9×106 t。




扫一扫,关注我们