2020年4卷4期
2020, 4(4): 305-315.
doi: 10.1093/ce/zkaa017
摘要:
本文结合波导与折射光学的研究,提出了同时对直接光照和间接光照进行聚光的新概念。具体而言,这一概念是基于具有特定几何形状的折射光学元件阵列的单一和集体聚焦效应而提出的。对于光学元件的几何形状,本文将菲涅耳反射与折射纳入考究因素,并给出了相应的分析框架和设计原理。本文还详细讨论了该聚光器的工作原理、损耗机制和受光角度。光线跟踪模拟的结果表明,在 3 个太阳数、中等折射率下,由此设计出的聚光器的透光率>90%,受光角 ≤65°。进一步的数值研究表明,这种新方法除了能进行光伏转换外还可以收集余热使得漫射光的工作吸能效率>70%,从而实现了对太阳辐射主要部分的利用。
本文结合波导与折射光学的研究,提出了同时对直接光照和间接光照进行聚光的新概念。具体而言,这一概念是基于具有特定几何形状的折射光学元件阵列的单一和集体聚焦效应而提出的。对于光学元件的几何形状,本文将菲涅耳反射与折射纳入考究因素,并给出了相应的分析框架和设计原理。本文还详细讨论了该聚光器的工作原理、损耗机制和受光角度。光线跟踪模拟的结果表明,在 3 个太阳数、中等折射率下,由此设计出的聚光器的透光率>90%,受光角 ≤65°。进一步的数值研究表明,这种新方法除了能进行光伏转换外还可以收集余热使得漫射光的工作吸能效率>70%,从而实现了对太阳辐射主要部分的利用。
2020, 4(4): 316-327.
doi: 10.1093/ce/zkaa018
摘要:
在光伏(Photovoltaic, PV)面板中,几乎有80%~90%的能量以热量的形式被浪费掉(这部分能量未产生任何价值)。一种集成式光伏光热(Photovoltaic-Thermal, PVT)系统可以利用这部分能量并同时产生电力。本文利用能量和㶲 (exergy)分析,对PVT系统的一种新设计和方法进行了研究与验证。与常用方法不同的是,该方案的集热器位于PV面板之外并用管道连接。水流经过面板的顶部,然后通过泵被强制送往集热器。通过实验研究了不同的水质量流率对PV面板和集热器、个体效率和整体效率、质量损失、㶲效率等的影响。结果表明,该系统的整体效率比单个PV面板的效率高5倍左右。强制循环水降低了面板的温度,将面板效率提升了0.8%~1%,㶲效率提升了0.6%~1%,总能量效率提升了约81%。
在光伏(Photovoltaic, PV)面板中,几乎有80%~90%的能量以热量的形式被浪费掉(这部分能量未产生任何价值)。一种集成式光伏光热(Photovoltaic-Thermal, PVT)系统可以利用这部分能量并同时产生电力。本文利用能量和㶲 (exergy)分析,对PVT系统的一种新设计和方法进行了研究与验证。与常用方法不同的是,该方案的集热器位于PV面板之外并用管道连接。水流经过面板的顶部,然后通过泵被强制送往集热器。通过实验研究了不同的水质量流率对PV面板和集热器、个体效率和整体效率、质量损失、㶲效率等的影响。结果表明,该系统的整体效率比单个PV面板的效率高5倍左右。强制循环水降低了面板的温度,将面板效率提升了0.8%~1%,㶲效率提升了0.6%~1%,总能量效率提升了约81%。
2020, 4(4): 373-378.
doi: 10.1093/ce/zkaa021
摘要:
振动给料机是一种用于粉体、颗粒和块状物料定量供给和输送的设备。本研究为了测试高温煤气除尘介质的再生性能,设计了一套除尘介质定量给料系统。该系统主要由装料单元、控制单元和给料单元组成。为优化除尘介质振动给料系统给料量的稳定性,本文考察了设计因素和操作因素的设定和范围。具体包括,控制单元的闸板阀调节对振动给料系统给料量稳定性的影响;控制单元的下料口缝隙大小对振动系统给料量灵敏度的影响;除尘介质的粒径大小对振动给料系统给料量范围的影响;电磁振动给料机中工作电流指示计的数字化改造对振动给料系统的测量变化和过程变化的影响。这套除尘介质振动给料系统实现了精确定量给料的功能,能够满足后续开展试验研究的设计要求。
振动给料机是一种用于粉体、颗粒和块状物料定量供给和输送的设备。本研究为了测试高温煤气除尘介质的再生性能,设计了一套除尘介质定量给料系统。该系统主要由装料单元、控制单元和给料单元组成。为优化除尘介质振动给料系统给料量的稳定性,本文考察了设计因素和操作因素的设定和范围。具体包括,控制单元的闸板阀调节对振动给料系统给料量稳定性的影响;控制单元的下料口缝隙大小对振动系统给料量灵敏度的影响;除尘介质的粒径大小对振动给料系统给料量范围的影响;电磁振动给料机中工作电流指示计的数字化改造对振动给料系统的测量变化和过程变化的影响。这套除尘介质振动给料系统实现了精确定量给料的功能,能够满足后续开展试验研究的设计要求。
2020, 4(4): 328-348.
doi: 10.1093/ce/zkaa019
摘要:
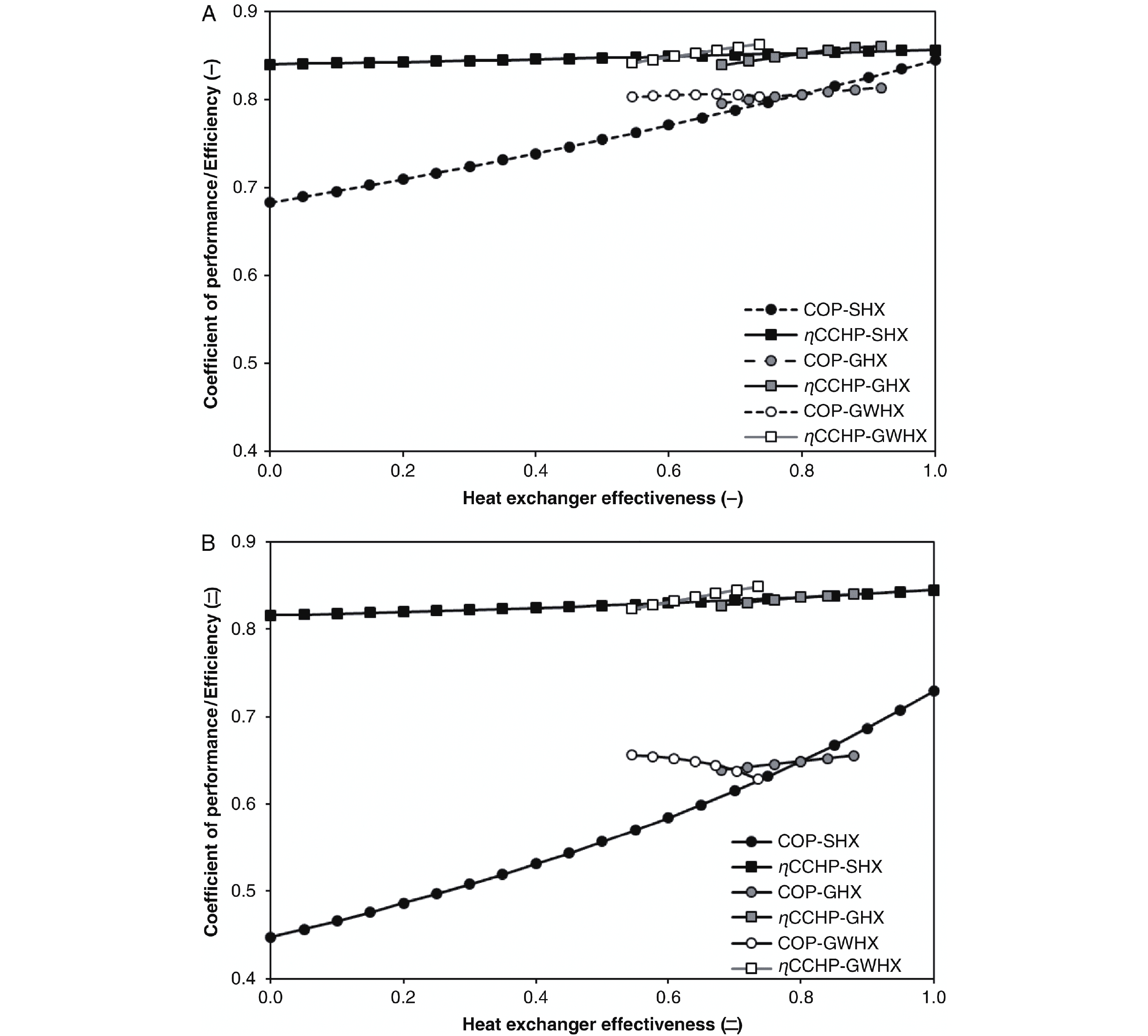
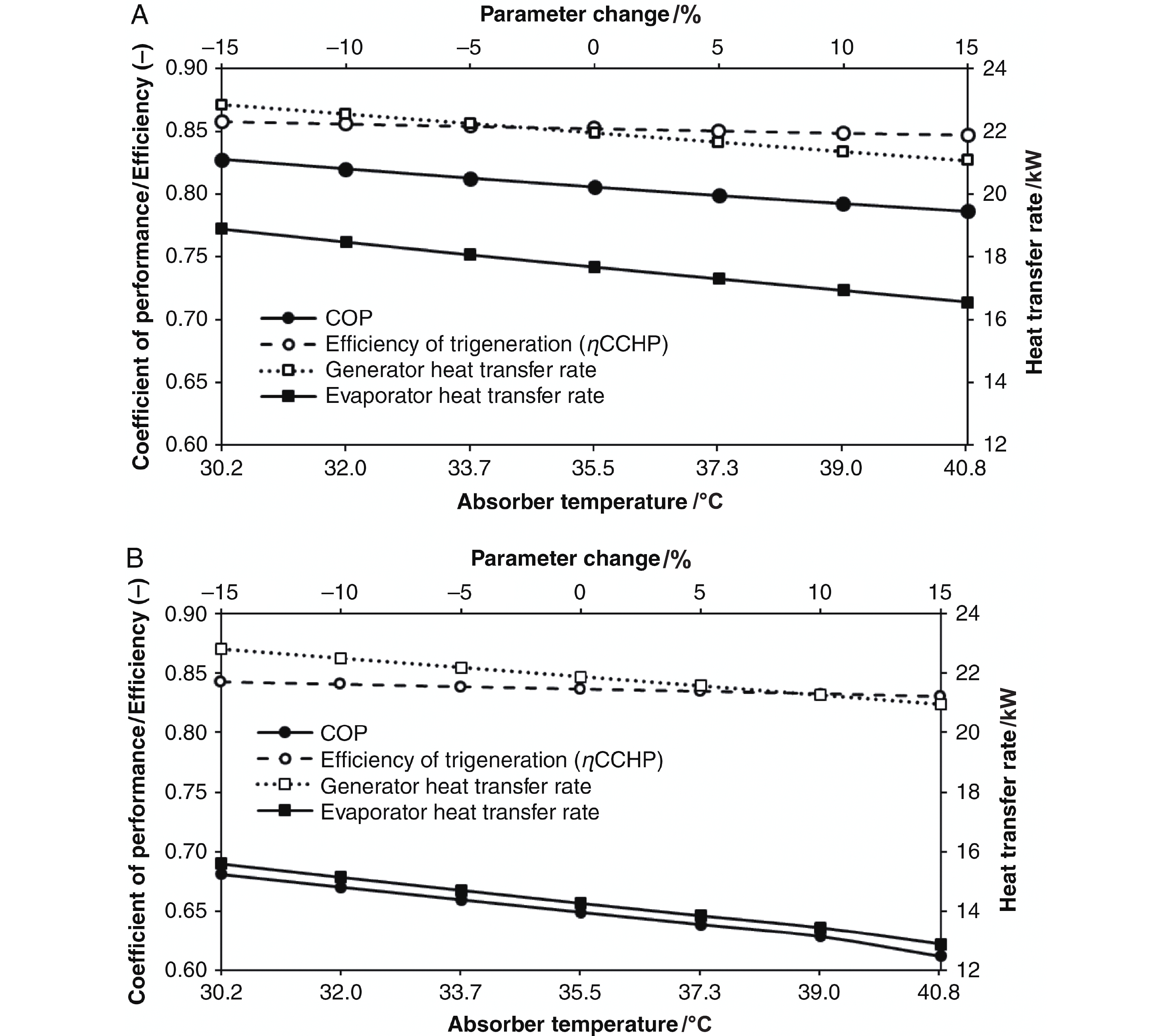
与独立系统相比,联合了制冷、供热与发电(Combined Cooling, Heating and Power, CCHP)系统的能源利用效率大大提高了。本研究构思了一种包含了固体氧化物燃料电池(Solid-Oxide Fuel Cell, SOFC)、热水储罐(Hot-Water Storage Tank, HWST)和吸收式制冷(Absorption Refrigeration, AR)循环装置的集成式系统。所用的固体氧化物燃料电池模型是在 Aspen Plus® 软件中开发的。它被用来确定废气的热力学性质,这些废气为热水储罐提供热量并驱动吸收式制冷循环。以 LiBr–H2O 和 NH3–H2O 为工作流体,在工程方程求解器中建立了吸收式制冷循环的热力学模型。对固体氧化物燃料电池的多项输出参数进行了敏感度分析。在最优化的情况下,LiBr–H2O 系统的性能系数(Coefficient of Performance, COP)和冷热电三联产效率分别为0.806和85.2%,NH3–H2O 系统分别为0.649和83.6%。在这样的最优工作条件下,固体氧化物燃料电池的净电效率为57.5%,净功率输出为123.66 kW。从最优方案中得到的数据被用于开展热力学研究和敏感度分析,以评估不同的吸收循环工作条件的影响,并为所构思的集成式系统确定可能的应用场景。
与独立系统相比,联合了制冷、供热与发电(Combined Cooling, Heating and Power, CCHP)系统的能源利用效率大大提高了。本研究构思了一种包含了固体氧化物燃料电池(Solid-Oxide Fuel Cell, SOFC)、热水储罐(Hot-Water Storage Tank, HWST)和吸收式制冷(Absorption Refrigeration, AR)循环装置的集成式系统。所用的固体氧化物燃料电池模型是在 Aspen Plus® 软件中开发的。它被用来确定废气的热力学性质,这些废气为热水储罐提供热量并驱动吸收式制冷循环。以 LiBr–H2O 和 NH3–H2O 为工作流体,在工程方程求解器中建立了吸收式制冷循环的热力学模型。对固体氧化物燃料电池的多项输出参数进行了敏感度分析。在最优化的情况下,LiBr–H2O 系统的性能系数(Coefficient of Performance, COP)和冷热电三联产效率分别为0.806和85.2%,NH3–H2O 系统分别为0.649和83.6%。在这样的最优工作条件下,固体氧化物燃料电池的净电效率为57.5%,净功率输出为123.66 kW。从最优方案中得到的数据被用于开展热力学研究和敏感度分析,以评估不同的吸收循环工作条件的影响,并为所构思的集成式系统确定可能的应用场景。
2020, 4(4): 349-360.
doi: 10.1093/ce/zkaa020
摘要:
清洁能源技术的成本目前非常高,而且在建筑物中采用清洁能源技术的行为是自发性的。本研究通过对415 名受访者开展问卷调查,评估了尼日利亚的建筑用光伏 (photovoltaic, PV) 发电成本效益的改善策略。使用模糊集合论与 Kruskal-Wallis 检验,确定了每项策略的有效性以及受访者的感知一致性。降低光伏成本最好的4项策略是:强制推行绿色建筑、建筑设计和光伏组件标准化、简化进口许可机制以及开展大规模公众教育。发展这些策略以改善光伏价值链的做法将提升新兴市场经济体的清洁能源供应能力。
清洁能源技术的成本目前非常高,而且在建筑物中采用清洁能源技术的行为是自发性的。本研究通过对415 名受访者开展问卷调查,评估了尼日利亚的建筑用光伏 (photovoltaic, PV) 发电成本效益的改善策略。使用模糊集合论与 Kruskal-Wallis 检验,确定了每项策略的有效性以及受访者的感知一致性。降低光伏成本最好的4项策略是:强制推行绿色建筑、建筑设计和光伏组件标准化、简化进口许可机制以及开展大规模公众教育。发展这些策略以改善光伏价值链的做法将提升新兴市场经济体的清洁能源供应能力。
2020, 4(4): 361-372.
doi: 10.1093/ce/zkaa016
摘要:
在湿法烟气脱硫(FGD)浆液中,作用于氧化态汞的含量最高且最典型的还原剂是所吸收的二氧化硫(SO2),根据浆液的pH值,二氧化硫以亚硫酸氢盐或亚硫酸盐两种不同的形式存在。本研究考察了实验室规模烟气脱硫浆液中两种不同的连续亚硫酸盐测量原理,以验证其在湿法FGD过程中应用的可行性。第一种方法是利用分光光度计测量亚硫酸盐特征波长处的光吸收率,从而进行亚硫酸盐测定;在第二种方法中,用气体传感器测定二氧化硫从而测定亚硫酸盐。此外,通过亚硫酸盐浓度的半连续测定,可以揭示浆液中汞(Hg)与亚硫酸盐浓度的相关性。结果说明,使用分光光度计会导致结果失真。相比之下,硫亚硫酸盐转化为SO2进行气相下的测定被证明具有更高的选择性。该测量技术在应用于实验室规模烟气脱硫的过程中,提供了令人满意的亚硫酸盐测定结果。因此,在含有不同卤化物的各种合成浆液中,可以显示汞与亚硫酸盐浓度的相关性。使用不含卤化物的浆液展示了亚硫酸盐在涉及汞的反应中的矛盾影响,作为汞配合物的配体是否作为还原剂,取决于现有的浓度。然而在卤化物存在时,亚硫酸盐的作用将变得不那么重要。
在湿法烟气脱硫(FGD)浆液中,作用于氧化态汞的含量最高且最典型的还原剂是所吸收的二氧化硫(SO2),根据浆液的pH值,二氧化硫以亚硫酸氢盐或亚硫酸盐两种不同的形式存在。本研究考察了实验室规模烟气脱硫浆液中两种不同的连续亚硫酸盐测量原理,以验证其在湿法FGD过程中应用的可行性。第一种方法是利用分光光度计测量亚硫酸盐特征波长处的光吸收率,从而进行亚硫酸盐测定;在第二种方法中,用气体传感器测定二氧化硫从而测定亚硫酸盐。此外,通过亚硫酸盐浓度的半连续测定,可以揭示浆液中汞(Hg)与亚硫酸盐浓度的相关性。结果说明,使用分光光度计会导致结果失真。相比之下,硫亚硫酸盐转化为SO2进行气相下的测定被证明具有更高的选择性。该测量技术在应用于实验室规模烟气脱硫的过程中,提供了令人满意的亚硫酸盐测定结果。因此,在含有不同卤化物的各种合成浆液中,可以显示汞与亚硫酸盐浓度的相关性。使用不含卤化物的浆液展示了亚硫酸盐在涉及汞的反应中的矛盾影响,作为汞配合物的配体是否作为还原剂,取决于现有的浓度。然而在卤化物存在时,亚硫酸盐的作用将变得不那么重要。
2020, 4(4): 379-388.
doi: 10.1093/ce/zkaa015
摘要:
水电解是利用电能将水分子分解为氢气和氧气的过程。合理利用该类系统的功率调节特性可以直接或间接地提升电网对波动性可再生能源的消纳能力。针对这一需求,欧盟QualyGridS课题在2017~2020年间开展了针对电解水制氢在欧洲范围内提供电网服务能力标准化测评协议草案的定制为目标的一系列工作。本文旨在分享QualyGridS课题组对该草案的制定和验证,及测试平台搭建等方面所取得的经验和部分成果,从而促进电力行业与氢能行业的合作,支持未来相关跨领域产品测试标准的制定,指导电解制氢企业开发与提供电网服务相关的产品和服务,并最终助力实现以氢能和其他可再生能源为主的未来能源系统转型。
水电解是利用电能将水分子分解为氢气和氧气的过程。合理利用该类系统的功率调节特性可以直接或间接地提升电网对波动性可再生能源的消纳能力。针对这一需求,欧盟QualyGridS课题在2017~2020年间开展了针对电解水制氢在欧洲范围内提供电网服务能力标准化测评协议草案的定制为目标的一系列工作。本文旨在分享QualyGridS课题组对该草案的制定和验证,及测试平台搭建等方面所取得的经验和部分成果,从而促进电力行业与氢能行业的合作,支持未来相关跨领域产品测试标准的制定,指导电解制氢企业开发与提供电网服务相关的产品和服务,并最终助力实现以氢能和其他可再生能源为主的未来能源系统转型。




扫一扫,关注我们