2020年4卷2期
2020, 4(2): 93-111.
doi: 10.1093/ce/zkaa006
摘要:
木本植物并非传统的油料植物,从特定木本植物中获取的非食用油料被认为是生产生物柴油的潜在原料。这些植物大多生长在未开垦的土地上。作为生物柴油的原料,这些油类分子的结构特征非常符合生物柴油所需的特质,例如其长链烃结构带有支链且不饱和度足够高等。以植物油为原料生产生物柴油的方法主要有4种,分别是通过共混直接使用、微乳化、热裂解(热解)和酯交换。以非食用油类为原料的做法解决了食物与燃料的取舍问题。用木本植物油料生产的生物柴油,可能会部分减少对液态燃料能源的需求,还有助于缓解因使用化石燃料而对环境造成的不良后果。本文介绍了从属于14个科的共17种木本植物(被子植物)中所获得的油料,还叙述了每种植物的习性、栖息地和地理分布。本文对相应油料的物理化学性质(特别是脂肪酸谱)进行了综述,而每种油料的理化性质也最终决定了由该种油料制备的生物柴油的特性。
木本植物并非传统的油料植物,从特定木本植物中获取的非食用油料被认为是生产生物柴油的潜在原料。这些植物大多生长在未开垦的土地上。作为生物柴油的原料,这些油类分子的结构特征非常符合生物柴油所需的特质,例如其长链烃结构带有支链且不饱和度足够高等。以植物油为原料生产生物柴油的方法主要有4种,分别是通过共混直接使用、微乳化、热裂解(热解)和酯交换。以非食用油类为原料的做法解决了食物与燃料的取舍问题。用木本植物油料生产的生物柴油,可能会部分减少对液态燃料能源的需求,还有助于缓解因使用化石燃料而对环境造成的不良后果。本文介绍了从属于14个科的共17种木本植物(被子植物)中所获得的油料,还叙述了每种植物的习性、栖息地和地理分布。本文对相应油料的物理化学性质(特别是脂肪酸谱)进行了综述,而每种油料的理化性质也最终决定了由该种油料制备的生物柴油的特性。
2020, 4(2): 112-124.
doi: 10.1093/ce/zkaa002
摘要:
鉴于煤炭在中国能源生产结构中占主导地位,且中国现有50%以上燃煤电厂的运行时间不到15年;中国燃煤电厂(至少是其中的一部分)必须布局CO2捕集装置,才能帮助中国实现大幅减少CO2排放量的目标。虽然CO2捕集技术在商业上日趋成熟,但仍然需要根据当地情况进行适当改造才能充分发挥作用;对中国而言,需要根据中国发电厂的实际情况进行专门的设计并采取灵活的运行方式。溶剂法装置可以为CO2捕集技术的商业化提供非常有价值的现场数据。我们在四川省江油发电厂建设了一套溶剂法CO2捕集装置,以在未来若干年里探索具有中国特色的问题,尤其是电厂的灵活调峰运行。我们将与CO2捕集、封存(CO2-capture and CO2-storage, CCS)领域的广大专家学者和工作人员们分享我们的成果,希望能有助于加快CO2捕集和封存工作在中国的开展。除了介绍CO2捕集装置的设计方案,本研究还利用30 wt%的单乙醇胺(monoethanolamine, MEA)进行了稳态验证试验;MEA是一种非常成熟的基础溶剂。与全球其他地区进行的类似测试相比,本研究的试验结果具有一定的优势,表明我们的系统具有一定的实用性并能为今后研究提供参考基准。
鉴于煤炭在中国能源生产结构中占主导地位,且中国现有50%以上燃煤电厂的运行时间不到15年;中国燃煤电厂(至少是其中的一部分)必须布局CO2捕集装置,才能帮助中国实现大幅减少CO2排放量的目标。虽然CO2捕集技术在商业上日趋成熟,但仍然需要根据当地情况进行适当改造才能充分发挥作用;对中国而言,需要根据中国发电厂的实际情况进行专门的设计并采取灵活的运行方式。溶剂法装置可以为CO2捕集技术的商业化提供非常有价值的现场数据。我们在四川省江油发电厂建设了一套溶剂法CO2捕集装置,以在未来若干年里探索具有中国特色的问题,尤其是电厂的灵活调峰运行。我们将与CO2捕集、封存(CO2-capture and CO2-storage, CCS)领域的广大专家学者和工作人员们分享我们的成果,希望能有助于加快CO2捕集和封存工作在中国的开展。除了介绍CO2捕集装置的设计方案,本研究还利用30 wt%的单乙醇胺(monoethanolamine, MEA)进行了稳态验证试验;MEA是一种非常成熟的基础溶剂。与全球其他地区进行的类似测试相比,本研究的试验结果具有一定的优势,表明我们的系统具有一定的实用性并能为今后研究提供参考基准。
2020, 4(2): 125-136.
doi: 10.1093/ce/zkaa003
摘要:
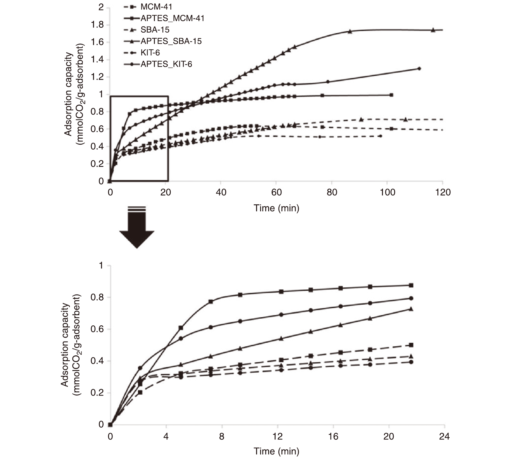
本文合成了具有六角形结构的介孔氧化硅材料(MCM-41和SBA-15)以及具有立方互连孔道结构的介孔氧化硅材料(KIT-6),在用氨基丙基三乙氧基硅烷 (aminopropyltriethoxysilane,APTES) 对它们进行修饰改性后,即可用作二氧化碳 (CO2) 的吸附剂。在室温和大气压下,使用含15% CO2、流速为20 mL/min的气体进行CO2的吸附实验;脱附实验则是在100 ℃、N2平衡的条件下进行的(气体流速也为20 mL/min)。由于结构中伯胺的存在,所有修饰后的介孔氧化硅与CO2的化学反应速度都加快了,所以吸附能力和吸附速率都有了提高。所有的吸附剂在5次吸附/脱附循环后均表现出良好的吸附稳定性。由于吸附剂的多孔结构能够影响到吸附/脱附过程,一种具有足够大的孔径和孔体积以及相互连接的孔道结构的吸附剂KIT-6,展现出了比其他吸附剂更好的吸附性能,是一种很有希望的吸附剂。该材料具有可接受的吸附容量,同时还拥有较高的吸附速率。此外,在12.07 kJ/mmol CO2的热负荷下,这种材料的再生效率达到了99.72%。
本文合成了具有六角形结构的介孔氧化硅材料(MCM-41和SBA-15)以及具有立方互连孔道结构的介孔氧化硅材料(KIT-6),在用氨基丙基三乙氧基硅烷 (aminopropyltriethoxysilane,APTES) 对它们进行修饰改性后,即可用作二氧化碳 (CO2) 的吸附剂。在室温和大气压下,使用含15% CO2、流速为20 mL/min的气体进行CO2的吸附实验;脱附实验则是在100 ℃、N2平衡的条件下进行的(气体流速也为20 mL/min)。由于结构中伯胺的存在,所有修饰后的介孔氧化硅与CO2的化学反应速度都加快了,所以吸附能力和吸附速率都有了提高。所有的吸附剂在5次吸附/脱附循环后均表现出良好的吸附稳定性。由于吸附剂的多孔结构能够影响到吸附/脱附过程,一种具有足够大的孔径和孔体积以及相互连接的孔道结构的吸附剂KIT-6,展现出了比其他吸附剂更好的吸附性能,是一种很有希望的吸附剂。该材料具有可接受的吸附容量,同时还拥有较高的吸附速率。此外,在12.07 kJ/mmol CO2的热负荷下,这种材料的再生效率达到了99.72%。
2020, 4(2): 137-147.
doi: 10.1093/ce/zkaa005
摘要:
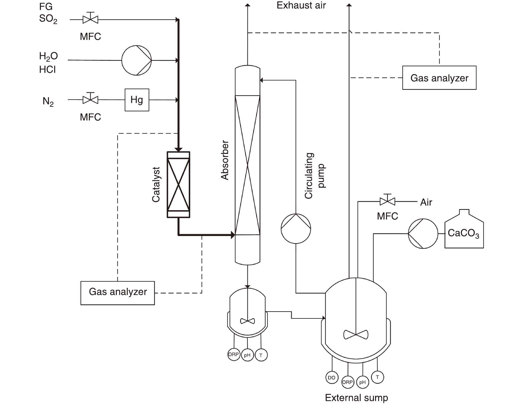
在去除二氧化硫(SO2)和氧化汞化合物等水溶性烟气成分方面,湿法烟气脱硫 (flue-gas desulfurization, FGD) 工艺发挥着重要的作用。在湿法烟气脱硫环境下,已经被吸收的汞 (Hg) 有可能再次释放到气相中,而使用特定添加剂的做法能够减少这种情况的发生。本文以实验室规模的湿法石灰石烟气脱硫法为对象,考查了两种不同的添加剂对汞从水相中的再排放以及汞在石膏和滤液中的分配的影响。此外,本文还考查了这两种添加剂在不同卤化物存在时所发挥的作用。研究的两种添加剂分别是 TMT15和活性褐煤 (activated lignite, AL);前者是一种硫化物沉淀剂,可形成不溶性汞化合物,后者是一种碳基吸附剂,可从水相中吸附汞化合物。TMT 15对SO2 的吸收没有显著的影响;然而添加活性褐煤(AL)后,SO2的去除率提高了 30%。无论使用哪种添加剂,在各项实验条件下汞的再排放都得到了抑制,但在无卤化物时添加AL 是个例外,此条件下汞的再排放率未表现出任何变化。由此可以得出的结论是,浆液中需要形成亲核的氧化汞化合物,AL 才能成功地吸附氧化态的汞。两种添加剂的使用可以在不同程度上提升浆液中汞的吸收率。研究结果表明,对于无添加剂的浆液,浆液固体部分的汞吸附能力是一种极限参数。此外,两种添加剂都能显著提升固相组分中的汞浓度。本文通过比较使用添加剂时浆液氧化还原电位的变化,呈现了浆液中汞的氧化还原电位与汞分离之间的相关性。
在去除二氧化硫(SO2)和氧化汞化合物等水溶性烟气成分方面,湿法烟气脱硫 (flue-gas desulfurization, FGD) 工艺发挥着重要的作用。在湿法烟气脱硫环境下,已经被吸收的汞 (Hg) 有可能再次释放到气相中,而使用特定添加剂的做法能够减少这种情况的发生。本文以实验室规模的湿法石灰石烟气脱硫法为对象,考查了两种不同的添加剂对汞从水相中的再排放以及汞在石膏和滤液中的分配的影响。此外,本文还考查了这两种添加剂在不同卤化物存在时所发挥的作用。研究的两种添加剂分别是 TMT15和活性褐煤 (activated lignite, AL);前者是一种硫化物沉淀剂,可形成不溶性汞化合物,后者是一种碳基吸附剂,可从水相中吸附汞化合物。TMT 15对SO2 的吸收没有显著的影响;然而添加活性褐煤(AL)后,SO2的去除率提高了 30%。无论使用哪种添加剂,在各项实验条件下汞的再排放都得到了抑制,但在无卤化物时添加AL 是个例外,此条件下汞的再排放率未表现出任何变化。由此可以得出的结论是,浆液中需要形成亲核的氧化汞化合物,AL 才能成功地吸附氧化态的汞。两种添加剂的使用可以在不同程度上提升浆液中汞的吸收率。研究结果表明,对于无添加剂的浆液,浆液固体部分的汞吸附能力是一种极限参数。此外,两种添加剂都能显著提升固相组分中的汞浓度。本文通过比较使用添加剂时浆液氧化还原电位的变化,呈现了浆液中汞的氧化还原电位与汞分离之间的相关性。
2020, 4(2): 148-162.
doi: 10.1093/ce/zkaa007
摘要:
在过去的十年里,许多研究人员致力于燃料电池流场设计的开发,以达到反应物的均匀分布和压降最优化。由于传统制造技术的局限性,已有研究大多是数值模拟,少数实验研究使用的流场几何形状也十分简单。3D打印是一种优秀的快速成型方法,可用于制造双极板(BPP)原型,从而进行新的流场设计实验。本研究探讨不同3D打印的双极板对流体动力学特性研究的适用性。最前沿的流场设计使用了PolyJet 3D打印、立体光刻设备(SLA)3D打印、激光切割技术,并且测量了每个双极板的压降和速度分布。结果表明,以较小的特征尺寸修改流场设计时,SLA BPP作为筛选工具表现优异。
在过去的十年里,许多研究人员致力于燃料电池流场设计的开发,以达到反应物的均匀分布和压降最优化。由于传统制造技术的局限性,已有研究大多是数值模拟,少数实验研究使用的流场几何形状也十分简单。3D打印是一种优秀的快速成型方法,可用于制造双极板(BPP)原型,从而进行新的流场设计实验。本研究探讨不同3D打印的双极板对流体动力学特性研究的适用性。最前沿的流场设计使用了PolyJet 3D打印、立体光刻设备(SLA)3D打印、激光切割技术,并且测量了每个双极板的压降和速度分布。结果表明,以较小的特征尺寸修改流场设计时,SLA BPP作为筛选工具表现优异。
2020, 4(2): 163-173.
doi: 10.1093/ce/zkaa001
摘要:




扫一扫,关注我们