2019年3卷4期
2019, 3(4): 241-250.
doi: 10.1093/ce/zkz018
摘要:
电力系统正通过减少温室气体排放,和对气候变化影响做出适应性反应(如改变水力发电量)来应对气候变化。各类变化可能会带来全新的发电厂运营或污染物排放模式。利用PLEXOS发电成本模型探讨了电力行业减缓和适应未来气候变化的各种场景,重点关注这些场景下的发电厂利用率和运行状况、系统运行总成本和二氧化碳总排放量。此外,采用同样参数,对在这些场景中广泛引入电力企业规模储能的效果进行了量化。可变可再生能源渗透率大幅提高,同时美国西南部水力发电大幅减少(基于科罗拉多河流域的气候建模和加利福尼亚州干旱的实际情况),导致火电厂启动/关停循环显著增加。引入储能则大幅减少了上述循环,而且二氧化碳排放量没有实质性的增加。即使小规模储能也能在气候变化可能导致的一系列未来电力系统场景中提供相当大的灵活性。
电力系统正通过减少温室气体排放,和对气候变化影响做出适应性反应(如改变水力发电量)来应对气候变化。各类变化可能会带来全新的发电厂运营或污染物排放模式。利用PLEXOS发电成本模型探讨了电力行业减缓和适应未来气候变化的各种场景,重点关注这些场景下的发电厂利用率和运行状况、系统运行总成本和二氧化碳总排放量。此外,采用同样参数,对在这些场景中广泛引入电力企业规模储能的效果进行了量化。可变可再生能源渗透率大幅提高,同时美国西南部水力发电大幅减少(基于科罗拉多河流域的气候建模和加利福尼亚州干旱的实际情况),导致火电厂启动/关停循环显著增加。引入储能则大幅减少了上述循环,而且二氧化碳排放量没有实质性的增加。即使小规模储能也能在气候变化可能导致的一系列未来电力系统场景中提供相当大的灵活性。
2019, 3(4): 251-262.
doi: 10.1093/ce/zkz012
摘要:
在Ni/MgO催化作用下,使用甲烷和二氧化碳可通过化学气相沉积法(CVD)合成碳纳米管(CNTs)。然后将合成的碳纳米管与K/MgO催化剂按不同比例进行混合,作为新的催化剂,用于丁基乙醇胺-2-氨基-2-甲基-1-丙醇二元溶剂对CO2的吸收。使用X射线衍射、扫描电子显微镜、丁基乙醇胺(BEA-AMP)、热重分析和二氧化碳程序升温脱附法来表征该催化剂,以合成具有良好的CO2吸收效果的催化剂。结果表明,在胺溶液中加入某种催化剂后,胺溶液达到二氧化碳负载量平衡的速度变快。此外,用KMgO单体催化剂和无催化剂的情况相比,如果KMgO/CNTs催化剂中碳纳米管含量越高,那么达到CO2吸收平衡的时间越短。当KMgO/CNTs的比例为1∶4时,达到CO2吸收平衡的时间最短,为240 min,这主要是因为强碱性活性位及最高总碱性活性位随碳纳米管含量的增加而增加。除此之外,由于碳纳米管可产生较大的比表面积和孔容,单位质量暴露的活性位数量大大增加,从而使CO2吸收量大幅增加。
在Ni/MgO催化作用下,使用甲烷和二氧化碳可通过化学气相沉积法(CVD)合成碳纳米管(CNTs)。然后将合成的碳纳米管与K/MgO催化剂按不同比例进行混合,作为新的催化剂,用于丁基乙醇胺-2-氨基-2-甲基-1-丙醇二元溶剂对CO2的吸收。使用X射线衍射、扫描电子显微镜、丁基乙醇胺(BEA-AMP)、热重分析和二氧化碳程序升温脱附法来表征该催化剂,以合成具有良好的CO2吸收效果的催化剂。结果表明,在胺溶液中加入某种催化剂后,胺溶液达到二氧化碳负载量平衡的速度变快。此外,用KMgO单体催化剂和无催化剂的情况相比,如果KMgO/CNTs催化剂中碳纳米管含量越高,那么达到CO2吸收平衡的时间越短。当KMgO/CNTs的比例为1∶4时,达到CO2吸收平衡的时间最短,为240 min,这主要是因为强碱性活性位及最高总碱性活性位随碳纳米管含量的增加而增加。除此之外,由于碳纳米管可产生较大的比表面积和孔容,单位质量暴露的活性位数量大大增加,从而使CO2吸收量大幅增加。
2019, 3(4): 263-278.
doi: 10.1093/ce/zkz015
摘要:
为了提高吸收剂的CO2吸收能力,本文采用5 mol/L MEA(一乙醇胺)、5 mol/L MEA-2 mol/L MDEA (甲基二乙醇胺)和2 mol/L BEA(丁基乙醇胺)-2 mol/L AMP(2-氨基-2-甲基-1-丙醇)吸收剂,在一个全循环中试实验装置内对催化剂辅助的CO2 吸收与解吸过程进行了传质研究。在试验中分别利用固体碱催化剂K/MgO和酸催化剂HZSM-5促进二氧化碳的吸收和解吸。采用气相(KGaV)和液相(KLaV)总传质系数描述吸收和解吸过程中的传质性能。在没有催化剂的情况下,2 mol/L BEA-2 mol/L AMP溶剂的最高KGaV和KLaV分别为\begin{document}$\displaystyle 0.086\frac{{{\rm K}{\rm{mol}}}}{\rm{{{{m}}^3}\cdot kPa \cdot hr}}$\end{document} ![]()
![]()
和\begin{document}$\displaystyle 0.785\,{1/hr}$\end{document} ![]()
![]()
。解吸塔内只使用HZSM-5催化剂,2 mol/L BEA-2 mol/L AMP溶剂的这两个传质系数分别增加38.7%和23.6%。如果同时使用K/MgO和HZSM-5催化剂,则传质系数分别提高 95%和45%。这是因为K/MgO 能与CO2 弱键合,使CO2 能够与胺反应。
为了提高吸收剂的CO2吸收能力,本文采用5 mol/L MEA(一乙醇胺)、5 mol/L MEA-2 mol/L MDEA (甲基二乙醇胺)和2 mol/L BEA(丁基乙醇胺)-2 mol/L AMP(2-氨基-2-甲基-1-丙醇)吸收剂,在一个全循环中试实验装置内对催化剂辅助的CO2 吸收与解吸过程进行了传质研究。在试验中分别利用固体碱催化剂K/MgO和酸催化剂HZSM-5促进二氧化碳的吸收和解吸。采用气相(KGaV)和液相(KLaV)总传质系数描述吸收和解吸过程中的传质性能。在没有催化剂的情况下,2 mol/L BEA-2 mol/L AMP溶剂的最高KGaV和KLaV分别为
2019, 3(4): 279-289.
doi: 10.1093/ce/zkz019
摘要:
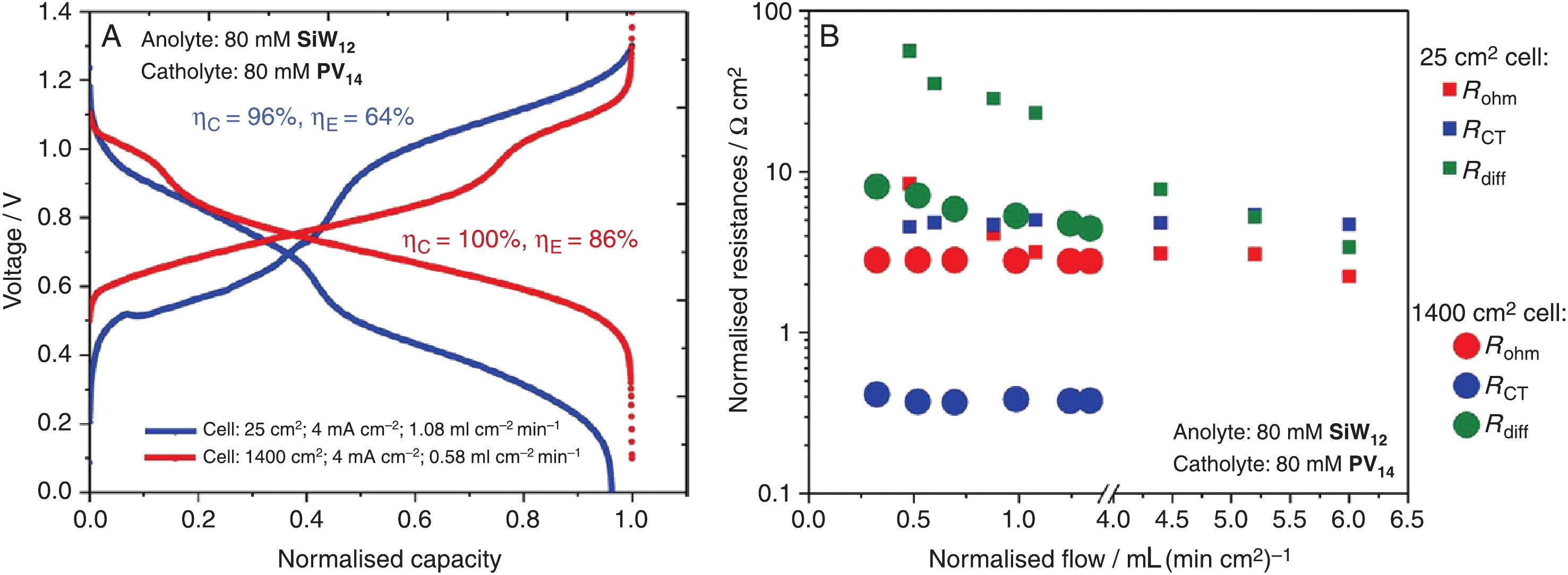
氧化还原液流电池技术在储能方面有很大的应用潜力,特别适合可再生能源。目前主流的液流电池技术是全钒液流电池,但全钒液流电池具有两个严重的缺点:能量密度和功率密度低。而多金属氧酸盐的应用能有效提升液流电池的能量密度和功率密度。本研究以[SiW12O40]4–(SiW12)为负极电解质,以[PV14O42]9-(PV14)为正极电解质搭建了液流电池。重点研究了在膜面积为25 cm2 和1400 cm2 的电池在效率和运行参数方面的不同。结果表明,经过3个月的测试,该大尺寸的电池性能没有下降,且其中的多金属氧酸盐保持稳定。
氧化还原液流电池技术在储能方面有很大的应用潜力,特别适合可再生能源。目前主流的液流电池技术是全钒液流电池,但全钒液流电池具有两个严重的缺点:能量密度和功率密度低。而多金属氧酸盐的应用能有效提升液流电池的能量密度和功率密度。本研究以[SiW12O40]4–(SiW12)为负极电解质,以[PV14O42]9-(PV14)为正极电解质搭建了液流电池。重点研究了在膜面积为25 cm2 和1400 cm2 的电池在效率和运行参数方面的不同。结果表明,经过3个月的测试,该大尺寸的电池性能没有下降,且其中的多金属氧酸盐保持稳定。
2019, 3(4): 290-310.
doi: 10.1093/ce/zkz020
摘要:
本文研究的目的是建立封闭式双锅泥土厨灶的数学模型。建立的新模型综合考虑了这类厨灶的瞬态传热特性、化学燃烧特性和流体流动特性。模型可以用来修改厨灶的运行参数和设计参数,也可以用于预测厨灶的性能参数,如传热效率、煮沸时间、过剩空气系数(EAR)以及灶壁、火焰和木炭的瞬态温度。据估算,当输入功率为5.1 kW时,总效率、过剩空气系数和煮沸时间分别为17.1%、1.97 和 43 min。将模型预测结果与实验结果进行了比较。另外,通过改变10项参数,分析了参数改变对厨灶性能的影响,对灶门直径、燃烧室高度和灶壁厚度提出了最佳尺寸建议。因此,本研究为厨灶设计提供了一个有效的工具。
本文研究的目的是建立封闭式双锅泥土厨灶的数学模型。建立的新模型综合考虑了这类厨灶的瞬态传热特性、化学燃烧特性和流体流动特性。模型可以用来修改厨灶的运行参数和设计参数,也可以用于预测厨灶的性能参数,如传热效率、煮沸时间、过剩空气系数(EAR)以及灶壁、火焰和木炭的瞬态温度。据估算,当输入功率为5.1 kW时,总效率、过剩空气系数和煮沸时间分别为17.1%、1.97 和 43 min。将模型预测结果与实验结果进行了比较。另外,通过改变10项参数,分析了参数改变对厨灶性能的影响,对灶门直径、燃烧室高度和灶壁厚度提出了最佳尺寸建议。因此,本研究为厨灶设计提供了一个有效的工具。
2019, 3(4): 311-319.
doi: 10.1093/ce/zkz027
摘要:
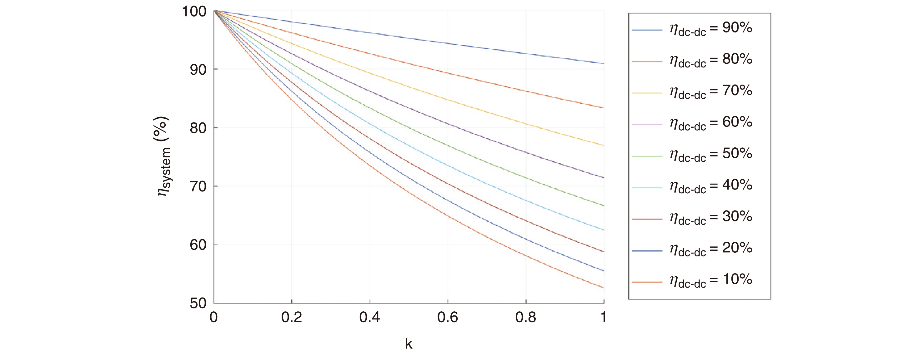
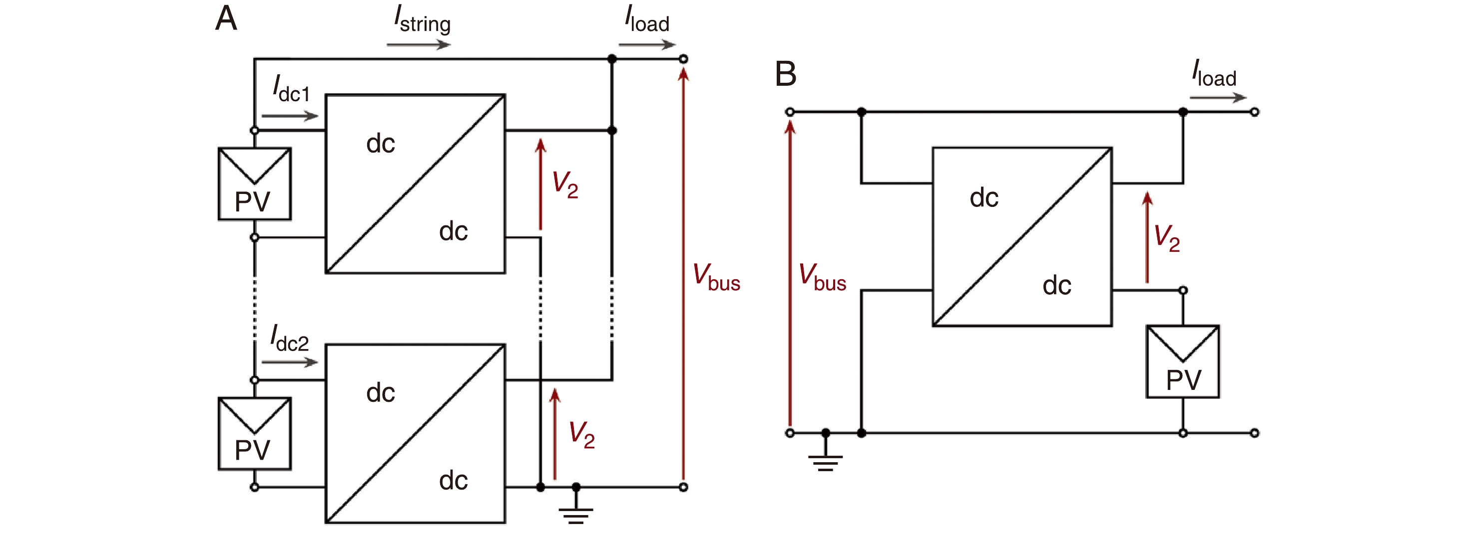
通过改变传统的电源-变换器-负载连接方式,可以有效构建部分功率变换系统,该系统重构方法可以有效减小电力电子功率变换系统体积,降低运行成本,同时提高系统效率。部分功率处理技术的概念在光伏、电动汽车及电解制氢等诸多领域,均具有广阔应用前景。在光伏领域,该技术可采用低功率变换器使阵列中的每个光伏电池单元,实现最大功率点跟踪;在电动汽车领域,该技术使更小重量、更高效率的车载便携充电器和大功率快速充电站成为可能。通过分析部分功率处理技术在能量转换和储能元件、系统中的不同应用实例,本文从不同角度讨论了该技术的优点、局限性和相关改进措施,以此展示其在未来电力电子系统中的应用潜力。
通过改变传统的电源-变换器-负载连接方式,可以有效构建部分功率变换系统,该系统重构方法可以有效减小电力电子功率变换系统体积,降低运行成本,同时提高系统效率。部分功率处理技术的概念在光伏、电动汽车及电解制氢等诸多领域,均具有广阔应用前景。在光伏领域,该技术可采用低功率变换器使阵列中的每个光伏电池单元,实现最大功率点跟踪;在电动汽车领域,该技术使更小重量、更高效率的车载便携充电器和大功率快速充电站成为可能。通过分析部分功率处理技术在能量转换和储能元件、系统中的不同应用实例,本文从不同角度讨论了该技术的优点、局限性和相关改进措施,以此展示其在未来电力电子系统中的应用潜力。
2019, 3(4): 320-326.
doi: 10.1093/ce/zkz024
摘要:




扫一扫,关注我们