2019年3卷3期
2019, 3(3): 174-203.
doi: 10.1093/ce/zkz023
摘要:
本文首先简要介绍了可持续能源的潜在可用性。显然,人类可轻易获取的光伏太阳能超过了所需的100倍,并且实际可用的风能也可以为世界提供足够的能源。然而,太阳能和风能具有间歇性特征,因此,需要高效和廉价的能源转换和储存技术。本文讨论了可逆固体氧化物电池(RSOC)的潜在应用,包括对比RSOC作为电解池/原电池与其他能源转换以及储存技术;描述了RSOC的电化学特性以及H2O、CO2、H2、CO、CnHm(烃类)和NH3的化学特性,包括热力学特性和电池性能。另外,本文还概述了常用电池载体的机械强度,介绍了强度更高的新型材料。本文讨论了电池常见的老化机理,包括气体和材料中常见杂质(例如S和Si)的影响,以及在燃料电极中碳沉积造成的不利影响,并解释了如何避免或缓解这些影响;展望了由可持续能源提供电力的RSOC如何通过电解池技术在交通运输领域实现大规模应用,以及如何通过季节性储能系统实现与电网的大规模整合。最后,将RSOC与其他电解池电池进行了简要对比,展望了RSOC的商业化应用,并提出了实现商业化应用必须采取的措施。
本文首先简要介绍了可持续能源的潜在可用性。显然,人类可轻易获取的光伏太阳能超过了所需的100倍,并且实际可用的风能也可以为世界提供足够的能源。然而,太阳能和风能具有间歇性特征,因此,需要高效和廉价的能源转换和储存技术。本文讨论了可逆固体氧化物电池(RSOC)的潜在应用,包括对比RSOC作为电解池/原电池与其他能源转换以及储存技术;描述了RSOC的电化学特性以及H2O、CO2、H2、CO、CnHm(烃类)和NH3的化学特性,包括热力学特性和电池性能。另外,本文还概述了常用电池载体的机械强度,介绍了强度更高的新型材料。本文讨论了电池常见的老化机理,包括气体和材料中常见杂质(例如S和Si)的影响,以及在燃料电极中碳沉积造成的不利影响,并解释了如何避免或缓解这些影响;展望了由可持续能源提供电力的RSOC如何通过电解池技术在交通运输领域实现大规模应用,以及如何通过季节性储能系统实现与电网的大规模整合。最后,将RSOC与其他电解池电池进行了简要对比,展望了RSOC的商业化应用,并提出了实现商业化应用必须采取的措施。
2019, 3(3): 204-212.
doi: 10.1093/ce/zkz013
摘要:
氢能作为二次能源,与其他传统燃料相比,其具有单位重量中含能量最高的特性,后续开发潜力巨大。制备氢能的方法有很多种,然而根据中国的自然资源分布状况及化石资源天然禀赋,煤基氢能被认为是最具价值的制氢技术路线,因为其不仅是开发清洁能源的有效途径,亦是对传统煤炭资源清洁利用的积极探索。本文介绍了煤制氢领域吸附增强型水煤气变换技术和液态芳烃储氢运输技术,并且列举和讨论了制氢和储氢工艺的基本机理、技术优势、最新进展和未来研发重点。最后,结合国家能源集团(CHN Energy Group)的发展框架和业务特点,提出了发展煤基氢能及相应供应链的概念架构。
氢能作为二次能源,与其他传统燃料相比,其具有单位重量中含能量最高的特性,后续开发潜力巨大。制备氢能的方法有很多种,然而根据中国的自然资源分布状况及化石资源天然禀赋,煤基氢能被认为是最具价值的制氢技术路线,因为其不仅是开发清洁能源的有效途径,亦是对传统煤炭资源清洁利用的积极探索。本文介绍了煤制氢领域吸附增强型水煤气变换技术和液态芳烃储氢运输技术,并且列举和讨论了制氢和储氢工艺的基本机理、技术优势、最新进展和未来研发重点。最后,结合国家能源集团(CHN Energy Group)的发展框架和业务特点,提出了发展煤基氢能及相应供应链的概念架构。
2019, 3(3): 213-218.
doi: 10.1093/ce/zkz011
摘要:
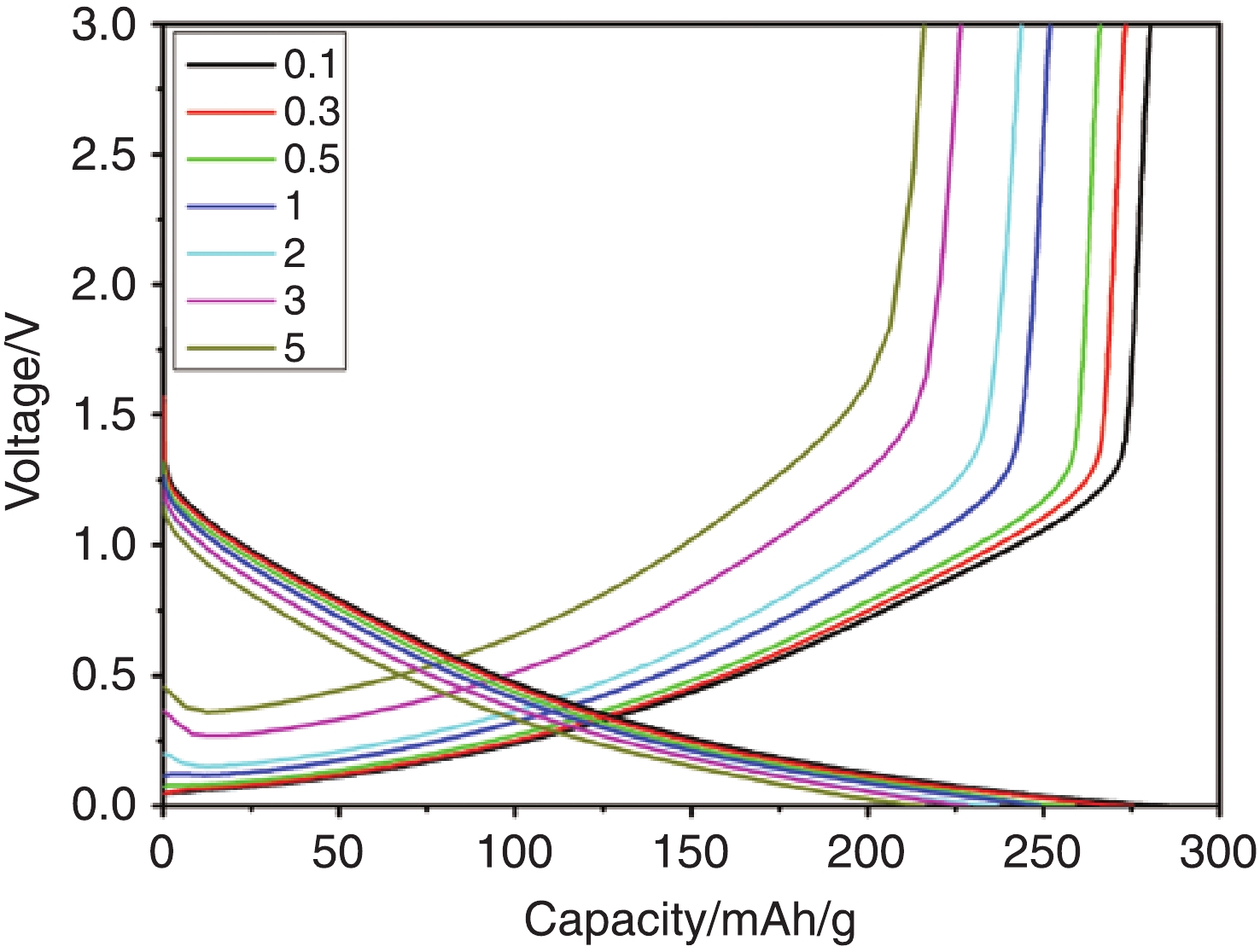
为满足储能市场对高功率电池的需求,开发皆具高容量和高功率性能的锂离子电池负极材料成为必然趋势。本文通过考察真空碳化工艺对煤基中间相沥青软碳负极材料的影响,提高了煤基中间相沥青软碳负极材料的电化学性能。应用X射线粉末衍射(XRD)、拉曼(Raman)、N2吸附-脱附、扫描电镜和X射线光电子能谱分析(XPS)对所制备的软碳材料进行结构表征。通过比容量,库仑效率,倍率性能、循环性能评测材料的电化学性能。结果表明:可以通过真空碳化增加煤基中间相沥青软碳负极材料的孔体积,表面缺陷,调控表面碳化学形态,同时使平均纳米晶粒变小,从而实现同步提升容量、倍率和首次库伦效率的效果。
为满足储能市场对高功率电池的需求,开发皆具高容量和高功率性能的锂离子电池负极材料成为必然趋势。本文通过考察真空碳化工艺对煤基中间相沥青软碳负极材料的影响,提高了煤基中间相沥青软碳负极材料的电化学性能。应用X射线粉末衍射(XRD)、拉曼(Raman)、N2吸附-脱附、扫描电镜和X射线光电子能谱分析(XPS)对所制备的软碳材料进行结构表征。通过比容量,库仑效率,倍率性能、循环性能评测材料的电化学性能。结果表明:可以通过真空碳化增加煤基中间相沥青软碳负极材料的孔体积,表面缺陷,调控表面碳化学形态,同时使平均纳米晶粒变小,从而实现同步提升容量、倍率和首次库伦效率的效果。
2019, 3(3): 219-223.
doi: 10.1093/ce/zkz014
摘要:
本文用射频溅射沉积的Ti薄膜作为柔性不锈钢箔(SS)基底铜铟镓硒(CIGS)太阳能电池的扩散阻挡层,分别利用X射线衍射(XRD)、扫描电子显微镜(SEM)和第二离子质谱(SIMS)对Ti薄膜特征和电池特性进行了研究,并对比了磁控溅射气压对Ti薄膜表面形貌和优选结晶取向的影响。结果表明,在较低气压下,Ti薄膜主要表现为(001)优选取向,薄膜表面比较光滑,但随着气压的升高,Ti薄膜的结晶择优取向逐渐向(002)转变,薄膜表面也变得粗糙。SIMS测量结果也表明,在7 e-2 Pa到1 Pa气压范围内沉积的Ti薄膜均可以有效阻挡不锈钢箔基底中的Fe和Cr杂质进入到CIGS吸收也层中。实验表明射频溅射沉积的Ti阻挡层可以显著提高CIGS太阳能电池的转换效率。
本文用射频溅射沉积的Ti薄膜作为柔性不锈钢箔(SS)基底铜铟镓硒(CIGS)太阳能电池的扩散阻挡层,分别利用X射线衍射(XRD)、扫描电子显微镜(SEM)和第二离子质谱(SIMS)对Ti薄膜特征和电池特性进行了研究,并对比了磁控溅射气压对Ti薄膜表面形貌和优选结晶取向的影响。结果表明,在较低气压下,Ti薄膜主要表现为(001)优选取向,薄膜表面比较光滑,但随着气压的升高,Ti薄膜的结晶择优取向逐渐向(002)转变,薄膜表面也变得粗糙。SIMS测量结果也表明,在7 e-2 Pa到1 Pa气压范围内沉积的Ti薄膜均可以有效阻挡不锈钢箔基底中的Fe和Cr杂质进入到CIGS吸收也层中。实验表明射频溅射沉积的Ti阻挡层可以显著提高CIGS太阳能电池的转换效率。
2019, 3(3): 224-228.
doi: 10.1093/ce/zkz007
摘要:
为了实现不同气候条件下光伏组件的精确选型,本研究采用不同性能的封装材料制备了三种多晶硅光伏组件,并选取了我国两个典型气候区对样品进行安装运行试验,对其6个月运行前后的光电参数(最大功率、开路电压、短路电流等)和电致发光图像进行了对比分析。研究发现,不同气候地区光伏组件样品的性能呈现不同的衰减趋势和衰减机理,在亚湿热地区(江苏苏州)3种不同类型的光伏组件的衰减出现明显的差异,采用性能相对较差的封装材料的两种光伏组件出现明显的PID效应,而暖温地区(山东垦利)3种不同类型的光伏组件的衰减趋势比较一致,均未出现明显的PID效应。
为了实现不同气候条件下光伏组件的精确选型,本研究采用不同性能的封装材料制备了三种多晶硅光伏组件,并选取了我国两个典型气候区对样品进行安装运行试验,对其6个月运行前后的光电参数(最大功率、开路电压、短路电流等)和电致发光图像进行了对比分析。研究发现,不同气候地区光伏组件样品的性能呈现不同的衰减趋势和衰减机理,在亚湿热地区(江苏苏州)3种不同类型的光伏组件的衰减出现明显的差异,采用性能相对较差的封装材料的两种光伏组件出现明显的PID效应,而暖温地区(山东垦利)3种不同类型的光伏组件的衰减趋势比较一致,均未出现明显的PID效应。
2019, 3(3): 229-235.
doi: 10.1093/ce/zkz025
摘要:
国家能源集团北京低碳清洁能源研究院(China Energy’s National Institute of Clean-and-Low-Carbon Energy (NICE))正在研发一个电厂智能管理(PPSM)平台,该平台旨在以数字孪生技术(Digital Twin)为基础工具对现有的燃煤发电机组进行运行性能和经济分析,探寻改进现有火电机组的运行性能和热效率的优化方案。本文阐述了数字孪生技术在1台320 MWe的燃煤热电机组的应用案例,展示了如何利用数字孪生技术来分析1台火电机组的热力性能和探索相应的优化改进方案,并对各种优化方案进行了成本效益评估。分析结果表明,所提出的两个优化方案预计可将其当前的发电标准煤耗降低约3.5 g/kWh,这意味着对单个机组每年可节省大约400万元燃料成本费,对电厂当前运行的2台320 MWe同类型机组每年可以节省发电煤耗成本约800万元。本文还展示了用数字孪生技术模拟评估机组在夏季和冬季不同运行模式下的经济性。在非供暖夏季纯发电模式下运行时,随着负荷率从100% MCR(最大持续功率)下降至30% MCR,机组运行热效率损失高达6%,导致发电煤耗成本上升约45 RMB/MWh;在冬季以热电联产(CHP)模式运行时,机组的燃煤成本相当于热电联产总收入(供电和区域供热收入)的约50%,在相同的锅炉热负荷下,热电联产模式运行的经济收益随着区域供暖需求量的增加而增加,但相对的经济增益随供热抽汽量的增加会达到一个转折点,该转折点后的相对经济增益受市场电价和热价变化的影响,可能会变缓或停滞,甚至下降。
国家能源集团北京低碳清洁能源研究院(China Energy’s National Institute of Clean-and-Low-Carbon Energy (NICE))正在研发一个电厂智能管理(PPSM)平台,该平台旨在以数字孪生技术(Digital Twin)为基础工具对现有的燃煤发电机组进行运行性能和经济分析,探寻改进现有火电机组的运行性能和热效率的优化方案。本文阐述了数字孪生技术在1台320 MWe的燃煤热电机组的应用案例,展示了如何利用数字孪生技术来分析1台火电机组的热力性能和探索相应的优化改进方案,并对各种优化方案进行了成本效益评估。分析结果表明,所提出的两个优化方案预计可将其当前的发电标准煤耗降低约3.5 g/kWh,这意味着对单个机组每年可节省大约400万元燃料成本费,对电厂当前运行的2台320 MWe同类型机组每年可以节省发电煤耗成本约800万元。本文还展示了用数字孪生技术模拟评估机组在夏季和冬季不同运行模式下的经济性。在非供暖夏季纯发电模式下运行时,随着负荷率从100% MCR(最大持续功率)下降至30% MCR,机组运行热效率损失高达6%,导致发电煤耗成本上升约45 RMB/MWh;在冬季以热电联产(CHP)模式运行时,机组的燃煤成本相当于热电联产总收入(供电和区域供热收入)的约50%,在相同的锅炉热负荷下,热电联产模式运行的经济收益随着区域供暖需求量的增加而增加,但相对的经济增益随供热抽汽量的增加会达到一个转折点,该转折点后的相对经济增益受市场电价和热价变化的影响,可能会变缓或停滞,甚至下降。
2019, 3(3): 236-239.
doi: 10.1093/ce/zkz021
摘要:




扫一扫,关注我们