2019年3卷2期
2019, 3(2): 69-85.
doi: 10.1093/ce/zkz001
摘要:
近年来,巴西的风力发电事业迈入了飞速发展的轨道,有望在2019年成为继水力发电之后的第二大主要电力来源。到2022年,装机容量可达20 GW以上。在风电发展的大好形势下,本文分析了巴西风力发电的历史演变和现状,论述了风力发电与可持续发展的环境、社会及经济这三大支柱之间的关系。文中重点分析了巴西东北地区风力发电的发展情况,因为该地区的风力发电容量占全国总容量的85%以上,而其中一部分城市的人文发展指数却处于最低水平。本文综合研究了风机转子叶片的制造方法和风机达到使用年限后复合材料的回收,同时还探讨了风机建设、运营和维护方面的问题。本文的风力发电相关概念根据文献调查结果和作者前期经验进行阐述。
近年来,巴西的风力发电事业迈入了飞速发展的轨道,有望在2019年成为继水力发电之后的第二大主要电力来源。到2022年,装机容量可达20 GW以上。在风电发展的大好形势下,本文分析了巴西风力发电的历史演变和现状,论述了风力发电与可持续发展的环境、社会及经济这三大支柱之间的关系。文中重点分析了巴西东北地区风力发电的发展情况,因为该地区的风力发电容量占全国总容量的85%以上,而其中一部分城市的人文发展指数却处于最低水平。本文综合研究了风机转子叶片的制造方法和风机达到使用年限后复合材料的回收,同时还探讨了风机建设、运营和维护方面的问题。本文的风力发电相关概念根据文献调查结果和作者前期经验进行阐述。
2019, 3(2): 86-103.
doi: 10.1093/ce/zkz008
摘要:
对于碳捕集与封存而言,另一种CO2减排策略——CO2捕集与利用,正引起全球各界越来越多的关注。CO2捕集与利用技术的应用潜力较为宽广,CO2可以用在温室和其他农业项目中,也可以转化为燃料、化学产品、高分子材料和建筑材料等。数十年来,油气增产、饮食行业、尿素生产、水处理、以及阻燃剂和制冷剂生产等多种工业过程一直在利用CO2,相关技术已经很成熟。现在,还有很多种处于开发阶段到商业应用阶段的CO2利用新技术。这些技术具有较好的潜力,可以通过部分替代化石燃料原材料、提高效率、使用可再生能源来减少发电和其他工业部门的CO2排放量,并且可以通过生产商品创造收益。本文将探讨通过一些化学和生物化学反应过程将CO2转化为商品的CO2利用技术,重点将关注已处于(或接近)大规模中试或商业应用阶段的先进技术。按照使用的技术线路将CO2利用技术分为电化学、光催化和光合成、催化、生物过程(使用微生物和酶)、共聚反应和矿化等。我们回顾了CO2利用技术的最新进展和状态,并根据生命周期评估结果探讨了CO2捕集与利用技术的环境影响。
对于碳捕集与封存而言,另一种CO2减排策略——CO2捕集与利用,正引起全球各界越来越多的关注。CO2捕集与利用技术的应用潜力较为宽广,CO2可以用在温室和其他农业项目中,也可以转化为燃料、化学产品、高分子材料和建筑材料等。数十年来,油气增产、饮食行业、尿素生产、水处理、以及阻燃剂和制冷剂生产等多种工业过程一直在利用CO2,相关技术已经很成熟。现在,还有很多种处于开发阶段到商业应用阶段的CO2利用新技术。这些技术具有较好的潜力,可以通过部分替代化石燃料原材料、提高效率、使用可再生能源来减少发电和其他工业部门的CO2排放量,并且可以通过生产商品创造收益。本文将探讨通过一些化学和生物化学反应过程将CO2转化为商品的CO2利用技术,重点将关注已处于(或接近)大规模中试或商业应用阶段的先进技术。按照使用的技术线路将CO2利用技术分为电化学、光催化和光合成、催化、生物过程(使用微生物和酶)、共聚反应和矿化等。我们回顾了CO2利用技术的最新进展和状态,并根据生命周期评估结果探讨了CO2捕集与利用技术的环境影响。
2019, 3(2): 104-107.
doi: 10.1093/ce/zkz005
摘要:
2019, 3(2): 108-115.
doi: 10.1093/ce/zkz003
摘要:
氢能源技术的成功发展具有许多优势和益处。氢能源技术的发展可以防止全球变暖,保证能源短缺国家的能源安全,还可以为交通工具和电力行业提供能源。氢能源是一种独特的能源载体,因为它可以通过风能、化石燃料、生物质等各种能源制得,氢气燃烧时不会排放二氧化碳,而且可用于生产氢能源的资源遍布全球。2014年,日本经济贸易产业省(METI)发布《氢能源及燃料电池战略发展路线图》(Strategic Roadmap for Hydrogen and Fuel Cells),并于2016年3月对其进行了修订。该路线图的目标是解决技术问题,确保经济效率,建设氢能源社会。路线图分三步走:阶段1―安装燃料电池;阶段2―氢能源发电厂/大规模氢能源供应链;阶段3―二氧化碳-游离氢。本文将说明日本燃料电池和燃料电池车的发展现状,并阐述氢能源研发项目及其现状以及2050年全球能源模型研究结果。
氢能源技术的成功发展具有许多优势和益处。氢能源技术的发展可以防止全球变暖,保证能源短缺国家的能源安全,还可以为交通工具和电力行业提供能源。氢能源是一种独特的能源载体,因为它可以通过风能、化石燃料、生物质等各种能源制得,氢气燃烧时不会排放二氧化碳,而且可用于生产氢能源的资源遍布全球。2014年,日本经济贸易产业省(METI)发布《氢能源及燃料电池战略发展路线图》(Strategic Roadmap for Hydrogen and Fuel Cells),并于2016年3月对其进行了修订。该路线图的目标是解决技术问题,确保经济效率,建设氢能源社会。路线图分三步走:阶段1―安装燃料电池;阶段2―氢能源发电厂/大规模氢能源供应链;阶段3―二氧化碳-游离氢。本文将说明日本燃料电池和燃料电池车的发展现状,并阐述氢能源研发项目及其现状以及2050年全球能源模型研究结果。
2019, 3(2): 116-126.
doi: 10.1093/ce/zkz006
摘要:
HyDeploy项目是英国首个示范氢气可以安全地掺入天然气配送系统中,且无需更换器具,掺入时也无需中断供气的实践项目。该项目由英国天然气和电力市场办公室(Ofgem),以及电力网络创新大赛(Network Innovation Competition)资助,由凯登特天然气公司(Cadent Gas)、北方天然气网公司(Northern Gas Networks)、进步能源公司(Progressive Energy Ltd)、基尔大学(Keele University)、英国健康与安全实验室(Health & Safety Laboratory)和ITM动力公司(ITM Power)合作完成。凯登特公司和北方天然气网公司是本项目的配气网赞助商。基尔大学是主测试场,负责提供接收掺氢气体的配气网。它是英国校园面积最大的大学。英国健康与安全实验室负责提供科学实验室和实验专业知识,ITM动力公司负责提供生成氢气的电解槽,进步能源公司是项目开发商和项目管理方。HyDeploy项目分为三个阶段。第一阶段是广泛的技术计划,目的在于得到必要的详细证据基础作为支持条件,向英国健康与安全执行局申请豁免《燃气安全管理规范》(GS(M)R)附表3中规定的相关要求,以获得注入20 mol%氢气的许可。目前,英国规定将氢气掺入天然气供应系统中的限值是0.1 mol%,要掺入在此限值以上的氢气就必须完成这方面工作。第二阶段包括建造电解槽和供应网输入装置以及必要的管道和阀门,以将氢气混合并注入基尔大学配气网中,并确保在注入前让操作人员接受所有必要的培训。第三阶段是试用,预计于2019年夏季开始,将持续10个月左右。试用阶段也可以开展与运行网络相关的更多实验活动,以实现混合气体的全面应用。HyDeploy项目的结果主要是初步证明在不中断天然气供应和不损害终端用户安全的情况下,氢气可以掺入英国的天然气运营网络中。如果能大规模部署,按20 mol%的比例掺氢,每年将提供29 TWh的低碳供热,并为进一步减排提供一个线路图。若能在全国配气网中按20 mol%的比例掺入氢气,所减少的碳排放量将相当于路面上行驶的汽车减少了250万辆。HyDeploy项目是英国的一项开创性项目,旨在通过掺氢项目的部署实现天然气网低碳化,奠定制定氢载体技术、操作和监管案例的第一块基石。
HyDeploy项目是英国首个示范氢气可以安全地掺入天然气配送系统中,且无需更换器具,掺入时也无需中断供气的实践项目。该项目由英国天然气和电力市场办公室(Ofgem),以及电力网络创新大赛(Network Innovation Competition)资助,由凯登特天然气公司(Cadent Gas)、北方天然气网公司(Northern Gas Networks)、进步能源公司(Progressive Energy Ltd)、基尔大学(Keele University)、英国健康与安全实验室(Health & Safety Laboratory)和ITM动力公司(ITM Power)合作完成。凯登特公司和北方天然气网公司是本项目的配气网赞助商。基尔大学是主测试场,负责提供接收掺氢气体的配气网。它是英国校园面积最大的大学。英国健康与安全实验室负责提供科学实验室和实验专业知识,ITM动力公司负责提供生成氢气的电解槽,进步能源公司是项目开发商和项目管理方。HyDeploy项目分为三个阶段。第一阶段是广泛的技术计划,目的在于得到必要的详细证据基础作为支持条件,向英国健康与安全执行局申请豁免《燃气安全管理规范》(GS(M)R)附表3中规定的相关要求,以获得注入20 mol%氢气的许可。目前,英国规定将氢气掺入天然气供应系统中的限值是0.1 mol%,要掺入在此限值以上的氢气就必须完成这方面工作。第二阶段包括建造电解槽和供应网输入装置以及必要的管道和阀门,以将氢气混合并注入基尔大学配气网中,并确保在注入前让操作人员接受所有必要的培训。第三阶段是试用,预计于2019年夏季开始,将持续10个月左右。试用阶段也可以开展与运行网络相关的更多实验活动,以实现混合气体的全面应用。HyDeploy项目的结果主要是初步证明在不中断天然气供应和不损害终端用户安全的情况下,氢气可以掺入英国的天然气运营网络中。如果能大规模部署,按20 mol%的比例掺氢,每年将提供29 TWh的低碳供热,并为进一步减排提供一个线路图。若能在全国配气网中按20 mol%的比例掺入氢气,所减少的碳排放量将相当于路面上行驶的汽车减少了250万辆。HyDeploy项目是英国的一项开创性项目,旨在通过掺氢项目的部署实现天然气网低碳化,奠定制定氢载体技术、操作和监管案例的第一块基石。
2019, 3(2): 127-144.
doi: 10.1093/ce/zkz002
摘要:
本文综合论述了意大利热泵(Heat pump,HP)市场过去10年的发展状况,重点阐述了热泵市场的发展潜力和障碍。利用能源成本、供热需求量、气候条件、热泵能效等级等多种因素及投资回收期和利率等经济指标,对比分析了空气-水源热泵和冷凝水锅炉两种不同的供暖和家用热水(Domestic hot water,DHW)系统的经济性特点,并以参数形式提出了研究成果,可为本国与欧洲其他国家的对比研究提供依据。本文第一部分概述了意大利热泵市场的现状,指出热泵市场的发展潜力尚未真正显现。第二部分以意大利典型的气候条件为背景,参照燃气锅炉这一最常用的供暖技术,重点通过可接受附加成本和净现值(Net present value,NPV)两个经济指标对热泵的经济效益进行了对比研究。主要研究成果表明,热泵技术对于意大利国内大多数气候带都具有经济性优势,而热泵的能效等级则是经济性优势的重要影响因素。尤其是在选用最优能效等级的热泵时,在主要影响变量发生变化时,其经济增益仍能优于燃气锅炉。因此,经济性问题不应成为热泵技术推广普及的限制性因素,而供应链、安装人员培训和最终用户认知则是需要一一排除的主要障碍。
本文综合论述了意大利热泵(Heat pump,HP)市场过去10年的发展状况,重点阐述了热泵市场的发展潜力和障碍。利用能源成本、供热需求量、气候条件、热泵能效等级等多种因素及投资回收期和利率等经济指标,对比分析了空气-水源热泵和冷凝水锅炉两种不同的供暖和家用热水(Domestic hot water,DHW)系统的经济性特点,并以参数形式提出了研究成果,可为本国与欧洲其他国家的对比研究提供依据。本文第一部分概述了意大利热泵市场的现状,指出热泵市场的发展潜力尚未真正显现。第二部分以意大利典型的气候条件为背景,参照燃气锅炉这一最常用的供暖技术,重点通过可接受附加成本和净现值(Net present value,NPV)两个经济指标对热泵的经济效益进行了对比研究。主要研究成果表明,热泵技术对于意大利国内大多数气候带都具有经济性优势,而热泵的能效等级则是经济性优势的重要影响因素。尤其是在选用最优能效等级的热泵时,在主要影响变量发生变化时,其经济增益仍能优于燃气锅炉。因此,经济性问题不应成为热泵技术推广普及的限制性因素,而供应链、安装人员培训和最终用户认知则是需要一一排除的主要障碍。
2019, 3(2): 145-162.
doi: 10.1093/ce/zkz009
摘要:
燃烧后捕集并且封存CO2是大幅减少现有化石燃料发电厂CO2排放量的极其少有的可行方式之一。本研究分为两部分,本文系第1部分。本研究由美国能源部(US Department of Energy,DOE)资助的一个项目的重要成果,同时还获得了以验证固体吸附剂用于捕集CO2的可行性为目标的一些工业集团公司的支持。总体目标是采用变温吸附工艺,通过燃煤发电厂的气流中试,验证采用固体吸附剂进行燃烧后CO2捕集的情况。本文研究的第1部分介绍了示范中试所选用吸附剂的实验室表征结果。到目前为止已经有大量与吸附剂开发和评价相关的研究,然而,绝大部分材料虽然前景较好,但是还需要开发相应的行之有效的工艺,并需进行中试验证。本项目所选用于中试评价的吸附剂为在表面通过共价键结合有胺的离子交换树脂。在本项研究的吸附剂表征部分,通过一系列方法表征吸附剂来为支持中试规模的CO2捕集工艺的设计和运行提供信息,包括平衡吸附等温线、吸附和再生动力学、水分和氧气对于吸附剂CO2吸附能力的影响、吸附剂热性能、吸附剂强度与损耗以及最佳粒度分布等相关信息。本文给出了吸附剂表征测试结果以及这些特征会对CO2捕集工艺设备的类型和尺寸产生哪些影响。本研究的第2部分将介绍并分析装有第1部分所述吸附剂的1-MWe中试工艺设备的测试结果。
燃烧后捕集并且封存CO2是大幅减少现有化石燃料发电厂CO2排放量的极其少有的可行方式之一。本研究分为两部分,本文系第1部分。本研究由美国能源部(US Department of Energy,DOE)资助的一个项目的重要成果,同时还获得了以验证固体吸附剂用于捕集CO2的可行性为目标的一些工业集团公司的支持。总体目标是采用变温吸附工艺,通过燃煤发电厂的气流中试,验证采用固体吸附剂进行燃烧后CO2捕集的情况。本文研究的第1部分介绍了示范中试所选用吸附剂的实验室表征结果。到目前为止已经有大量与吸附剂开发和评价相关的研究,然而,绝大部分材料虽然前景较好,但是还需要开发相应的行之有效的工艺,并需进行中试验证。本项目所选用于中试评价的吸附剂为在表面通过共价键结合有胺的离子交换树脂。在本项研究的吸附剂表征部分,通过一系列方法表征吸附剂来为支持中试规模的CO2捕集工艺的设计和运行提供信息,包括平衡吸附等温线、吸附和再生动力学、水分和氧气对于吸附剂CO2吸附能力的影响、吸附剂热性能、吸附剂强度与损耗以及最佳粒度分布等相关信息。本文给出了吸附剂表征测试结果以及这些特征会对CO2捕集工艺设备的类型和尺寸产生哪些影响。本研究的第2部分将介绍并分析装有第1部分所述吸附剂的1-MWe中试工艺设备的测试结果。
2019, 3(2): 163-172.
doi: 10.1093/ce/zkz010
摘要:
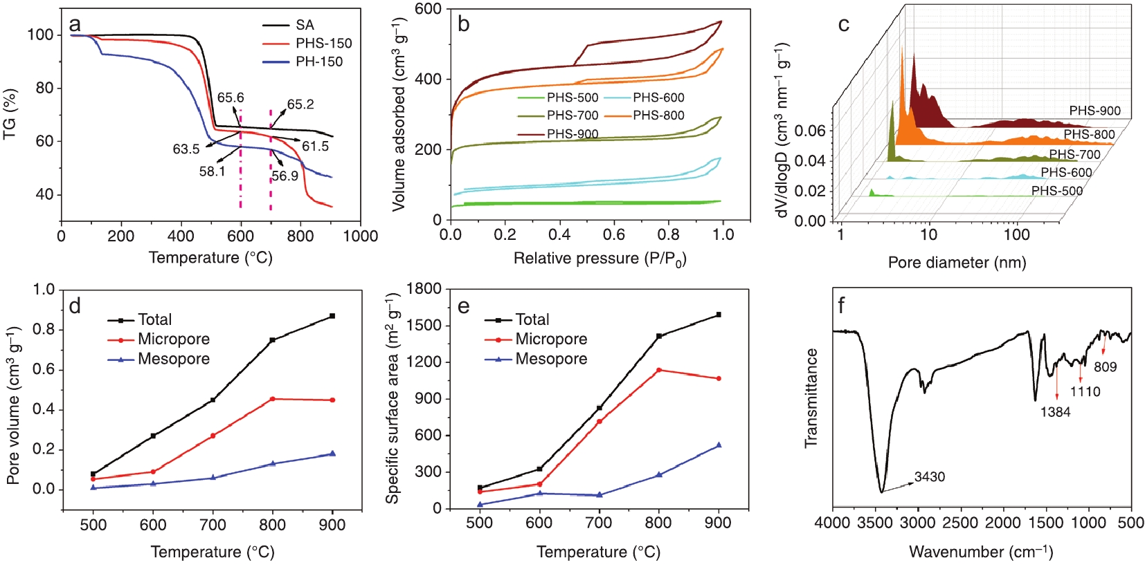
直接将含氮前驱体碳化并活化,是一种制备氮掺杂分级结构多孔碳的有效方法。KOH和NaOH等最常用的活化剂可能会对生产设备造成严重的腐蚀。为了解决这个问题,本文提出了一种将乙酸钠作为活化剂、六次亚甲基四胺作为氮源制备酚醛树脂基氮掺杂分级结构多孔碳材料的简便方法。作为一种原位活化剂,乙酸钠的腐蚀性较小。结果表明,900℃(PHS-900)时获得的样品比表面积(SBET)最大,达到1591 m2·g−1。由于具有较为均衡的高氮含量(5.41%)和较大表面积(827 m2·g−1),最佳样品PHS-700在7 mol/L KOH水系电解液中使用三电极体系测试时的比电容高达352 F·g−1。此外,在二电极体系(10 000次循环之后保留95.3%)中它还显示出极佳的长循环稳定性。样品的电化学性能良好、所用原料腐蚀性低且制备过程无需模板,因此这是一种极具潜力的制备超级电容器电极材料用氮掺杂分级多孔碳的方法。
直接将含氮前驱体碳化并活化,是一种制备氮掺杂分级结构多孔碳的有效方法。KOH和NaOH等最常用的活化剂可能会对生产设备造成严重的腐蚀。为了解决这个问题,本文提出了一种将乙酸钠作为活化剂、六次亚甲基四胺作为氮源制备酚醛树脂基氮掺杂分级结构多孔碳材料的简便方法。作为一种原位活化剂,乙酸钠的腐蚀性较小。结果表明,900℃(PHS-900)时获得的样品比表面积(SBET)最大,达到1591 m2·g−1。由于具有较为均衡的高氮含量(5.41%)和较大表面积(827 m2·g−1),最佳样品PHS-700在7 mol/L KOH水系电解液中使用三电极体系测试时的比电容高达352 F·g−1。此外,在二电极体系(10 000次循环之后保留95.3%)中它还显示出极佳的长循环稳定性。样品的电化学性能良好、所用原料腐蚀性低且制备过程无需模板,因此这是一种极具潜力的制备超级电容器电极材料用氮掺杂分级多孔碳的方法。




扫一扫,关注我们