2018年2卷2期
显示方式: |
2018, 2(2): 83-100.
doi: 10.1093/ce/zky013
摘要:
本文通过对分布式快速热解技术制备生物原油的装置与太阳能光伏发电装置进行整合以实现电力生产调度的相关问题进行了分析。太阳能光伏和风能等间歇性发电能源的迅速发展,使电网规模的储能及动态需求管理更加必要。目前正在开发的各种能量储存方式主要有电化学(例如电池储能)、机械(例如飞轮储能)和重力(例如抽水蓄能)。本文研究的是快速热解生物质生产生物原油装置的整合问题,因为由此得到的生物原油可以很方便地储存在储罐中,当需要补充太阳能光伏发电装置的发电缺口时,可以通过燃烧这些生物原油来发电,以满足能源需求。在这一整合方案中使用生物质热解技术具有很多益处:不仅可以灵活地增加间歇性可再生能源供应、将更多的生物能源整合到电力部门,还可以生产出商用数量的生物原油,经过提炼后制成可再生的、几乎没有其他替代品可替代的运输用燃油,例如航空燃油。生物原油,特别是部分经过提纯的生物原油,可以在不用的时候存储起来,然后在需要时作为合适的燃料用于发动机和燃气涡轮机中,以克服太阳能和风能发电项目的间歇供应性。利用生物质/生物原油及太阳能光伏和/或风能的混合发电方案,开发分布式100%可再生能源发电站也有望提高电力供应的稳定性,还可以进一步研究一次生物原油的质量和价格,将这些一次生物原油供给集中式生物炼油厂,从而大大降低投资新生物炼油产能的风险。
本文通过对分布式快速热解技术制备生物原油的装置与太阳能光伏发电装置进行整合以实现电力生产调度的相关问题进行了分析。太阳能光伏和风能等间歇性发电能源的迅速发展,使电网规模的储能及动态需求管理更加必要。目前正在开发的各种能量储存方式主要有电化学(例如电池储能)、机械(例如飞轮储能)和重力(例如抽水蓄能)。本文研究的是快速热解生物质生产生物原油装置的整合问题,因为由此得到的生物原油可以很方便地储存在储罐中,当需要补充太阳能光伏发电装置的发电缺口时,可以通过燃烧这些生物原油来发电,以满足能源需求。在这一整合方案中使用生物质热解技术具有很多益处:不仅可以灵活地增加间歇性可再生能源供应、将更多的生物能源整合到电力部门,还可以生产出商用数量的生物原油,经过提炼后制成可再生的、几乎没有其他替代品可替代的运输用燃油,例如航空燃油。生物原油,特别是部分经过提纯的生物原油,可以在不用的时候存储起来,然后在需要时作为合适的燃料用于发动机和燃气涡轮机中,以克服太阳能和风能发电项目的间歇供应性。利用生物质/生物原油及太阳能光伏和/或风能的混合发电方案,开发分布式100%可再生能源发电站也有望提高电力供应的稳定性,还可以进一步研究一次生物原油的质量和价格,将这些一次生物原油供给集中式生物炼油厂,从而大大降低投资新生物炼油产能的风险。
2018, 2(2): 101-111.
doi: 10.1093/ce/zkx010
摘要:
本文提出了一项新技术:使用水力、太阳能发电与电池储能相结合的方式为沿海地区供电。我们所说的沿海发电厂拥有一座多层式蓄水池,海水从蓄水池的底层被吸入,经由盖瑟空气泵分多级垂直泵运送至高位水池内,高位水池内的海水从高位流向水力发电站,实现水力发电。利用海面安置漂浮式光伏电站,以实现太阳能发电。间歇性可再生能源与电池储能系统结合起来,能很好地满足用电高峰期的用电需求。本项技术运用了海洋石油工业相关技术,先在岸上制造好相关组件,再运送至现场安装。本文就潜力和成本效益情况对一座规模达201 MW的沿海发电厂进行了分析。分析结果表明,在投资、运营以及维护成本方面,这项新设计具备有效性。相较于其他可再生能源技术,这项设计具有明显优势。
本文提出了一项新技术:使用水力、太阳能发电与电池储能相结合的方式为沿海地区供电。我们所说的沿海发电厂拥有一座多层式蓄水池,海水从蓄水池的底层被吸入,经由盖瑟空气泵分多级垂直泵运送至高位水池内,高位水池内的海水从高位流向水力发电站,实现水力发电。利用海面安置漂浮式光伏电站,以实现太阳能发电。间歇性可再生能源与电池储能系统结合起来,能很好地满足用电高峰期的用电需求。本项技术运用了海洋石油工业相关技术,先在岸上制造好相关组件,再运送至现场安装。本文就潜力和成本效益情况对一座规模达201 MW的沿海发电厂进行了分析。分析结果表明,在投资、运营以及维护成本方面,这项新设计具备有效性。相较于其他可再生能源技术,这项设计具有明显优势。
2018, 2(2): 142-156.
doi: 10.1093/ce/zky011
摘要:
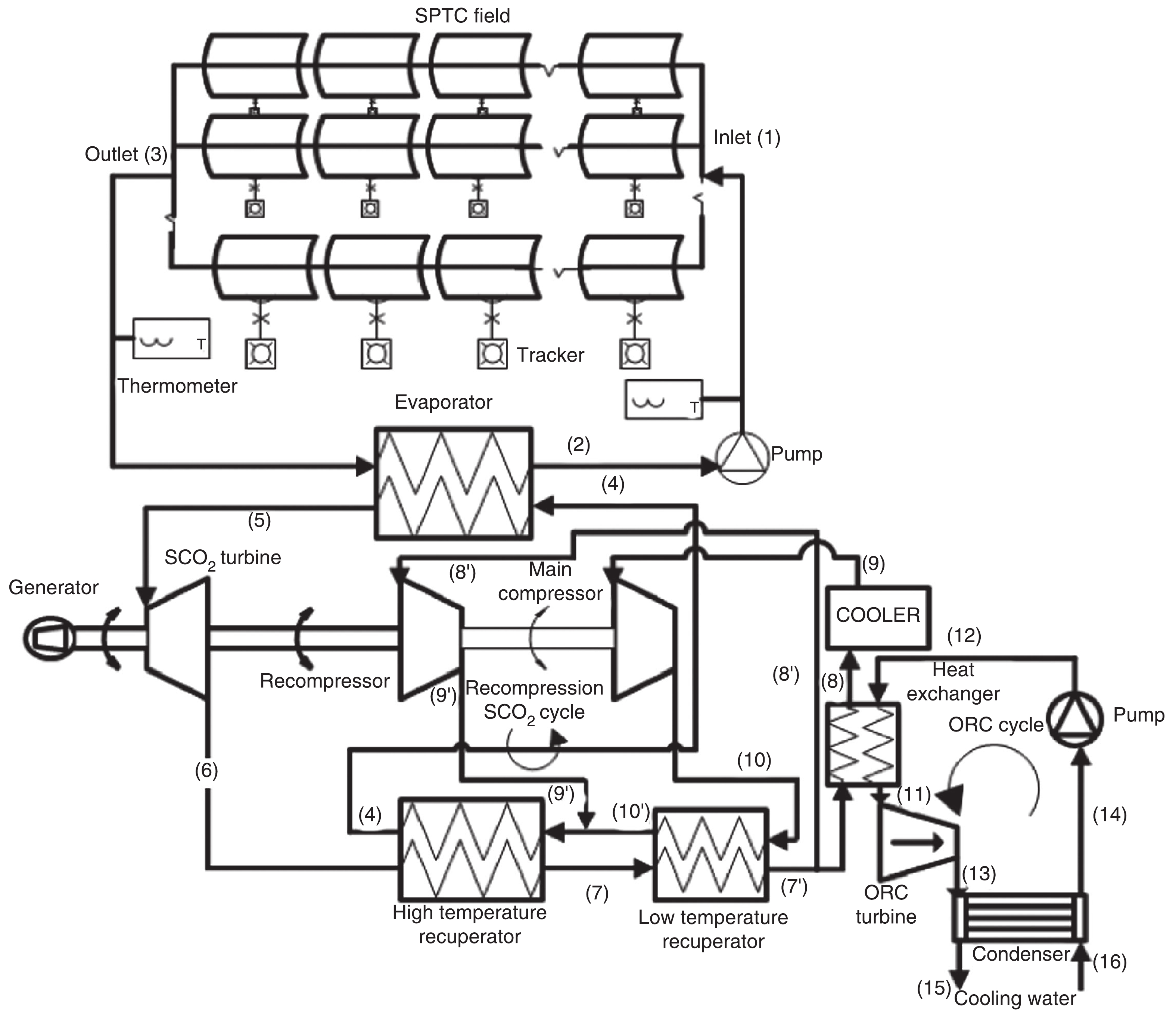
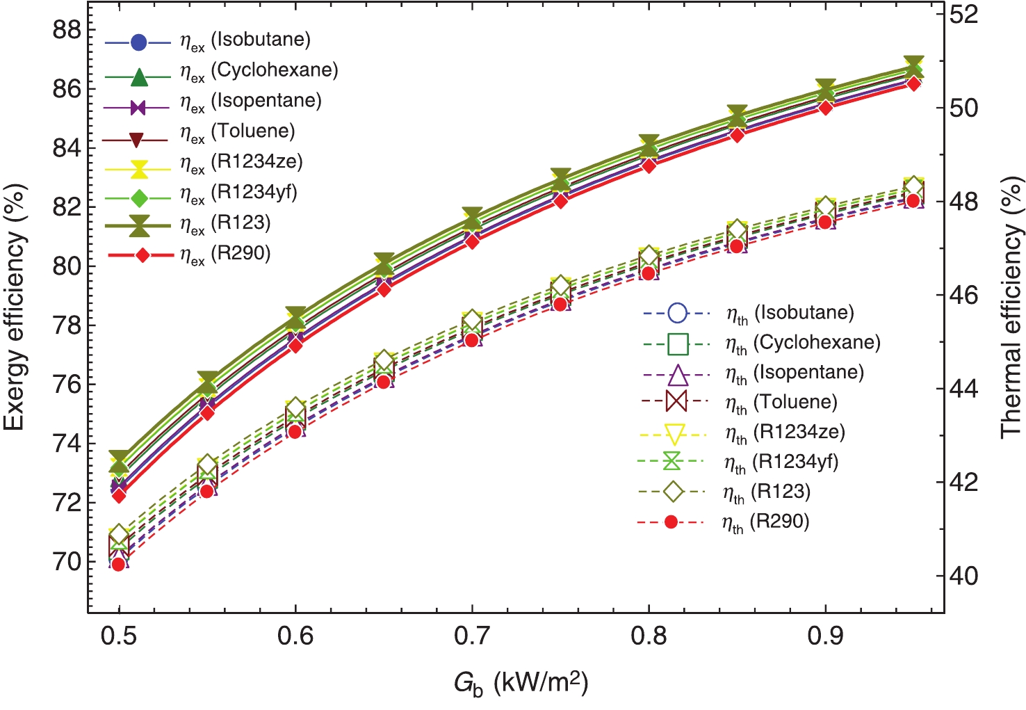
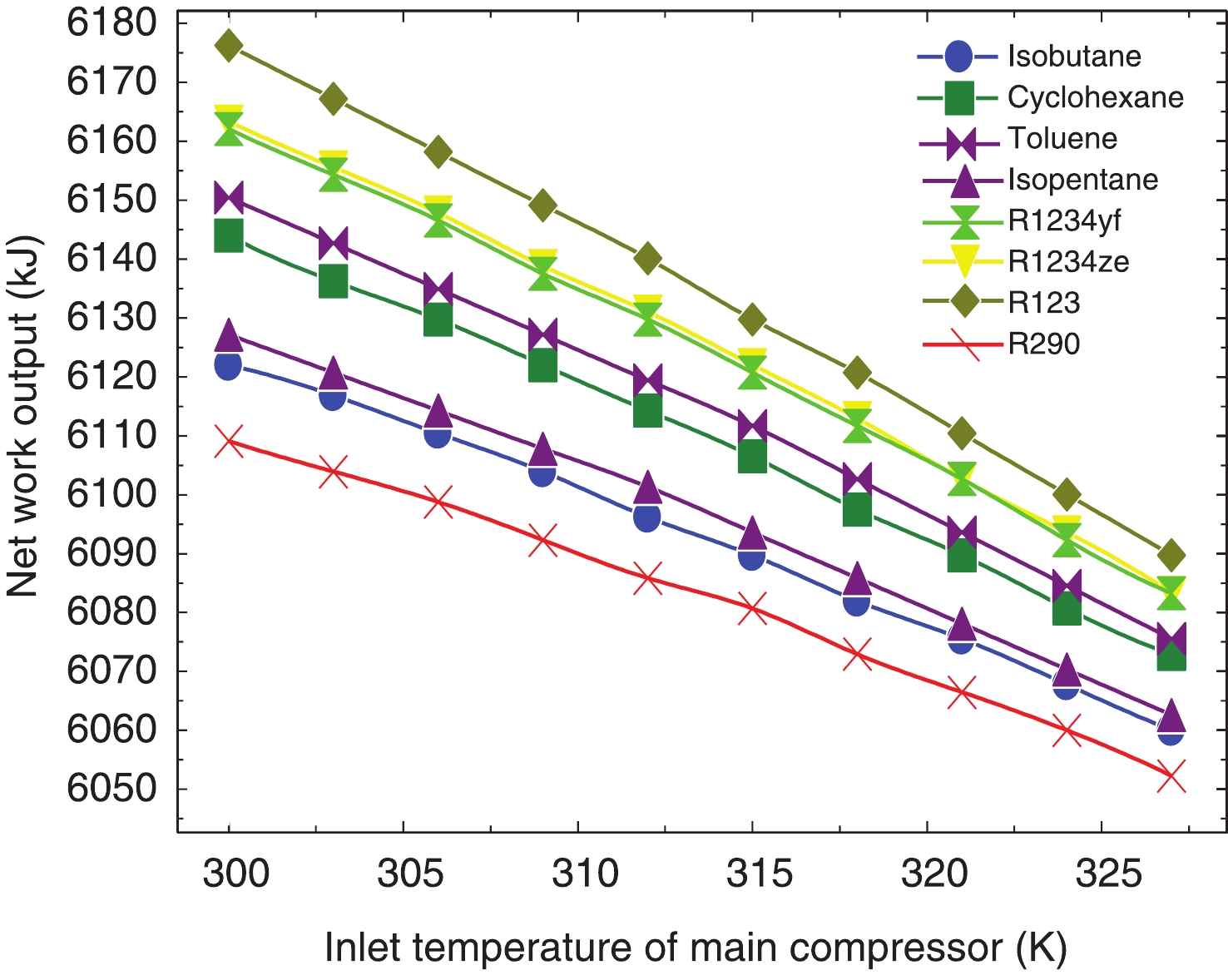
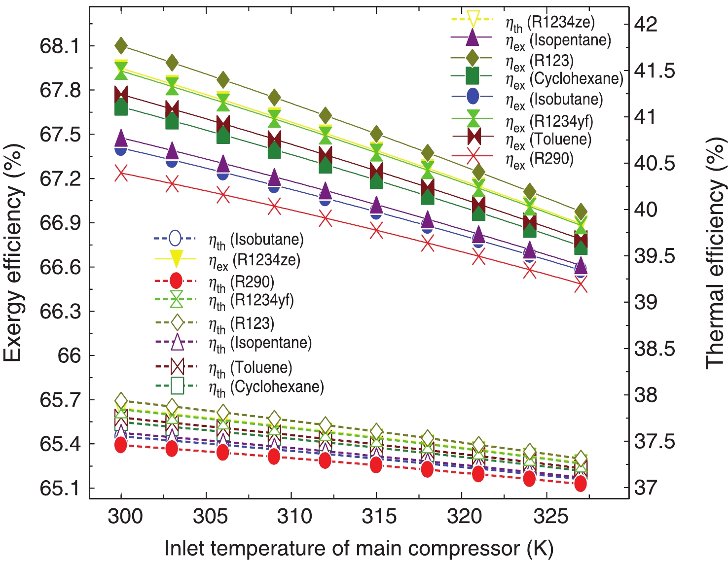
超临界二氧化碳再压缩(R-SCO2)循环在处理能源环境问题上的潜力,已成为能量转换系统中极具前景的技术手段。本文研究了槽式抛物面太阳能集热器(Solar parabolic trough collector,SPTC)的联合循环热电联产系统的发电性能,以及在有机朗肯循环(Organic Rankine cycle,ORC)帮助下R-SCO2循环系统的余热回收性能。对于再压缩联合循环(R-SCO2-ORC),本研究通过改变各种输入变量进行㶲分析与能量分析,包括太阳辐射强度(Gb)、SCO2透平的入口压力(P5)、SCO2的质量流量、SCO2透平的入口温度(T5)、主压缩机的入口温度(T9)以及高低温回热器的能效(εHTR和εLTR)。对于有机朗肯循环,本研究考虑了8种有机工质:R123、R290、异丁烷、R1234yf、R1234ze、甲苯、异戊烷和环己烷。研究表明,采用R123作为工质的R-SCO2-ORC循环的热效率和㶲效率最高,具体数值为:在Gb=0.5 kW/m2时热效率为73.4%,㶲效率为40.89%;在P5=14 MPa时为78.8%和㶲效率43.9%;在T5=650 K时为63.86%和35.57%;在\begin{document}${m_{{\rm{sco}}}}_{_{\rm{2}}}$\end{document} ![]()
![]()
=7 kg/s时为74.84%和41.69%;在T9=300 K时为84.57%和47.11%;在εHTR=0.65时为84.57%和47.11%,εLTR=0.65时为85.06%和47.38%。经比较得出,R290的热效率和㶲效率最低。可以看出,太阳能集热器场中的㶲损耗(或称㶲损失)最大,约占总㶲损率(即6703 kW)的58.25%,占太阳能输入的㶲量(即20 562 kJ)的18.99%。此外,R123的净输出功最高,在T5=650 K时为4594 kJ,在T9=300 K时为6176 kJ。
超临界二氧化碳再压缩(R-SCO2)循环在处理能源环境问题上的潜力,已成为能量转换系统中极具前景的技术手段。本文研究了槽式抛物面太阳能集热器(Solar parabolic trough collector,SPTC)的联合循环热电联产系统的发电性能,以及在有机朗肯循环(Organic Rankine cycle,ORC)帮助下R-SCO2循环系统的余热回收性能。对于再压缩联合循环(R-SCO2-ORC),本研究通过改变各种输入变量进行㶲分析与能量分析,包括太阳辐射强度(Gb)、SCO2透平的入口压力(P5)、SCO2的质量流量、SCO2透平的入口温度(T5)、主压缩机的入口温度(T9)以及高低温回热器的能效(εHTR和εLTR)。对于有机朗肯循环,本研究考虑了8种有机工质:R123、R290、异丁烷、R1234yf、R1234ze、甲苯、异戊烷和环己烷。研究表明,采用R123作为工质的R-SCO2-ORC循环的热效率和㶲效率最高,具体数值为:在Gb=0.5 kW/m2时热效率为73.4%,㶲效率为40.89%;在P5=14 MPa时为78.8%和㶲效率43.9%;在T5=650 K时为63.86%和35.57%;在
2018, 2(2): 157-169.
doi: 10.1093/ce/zky016
摘要:
本文提出了一种将热电发电机模块优化设计与材料工程相结合的模块设计思路。该思路将热原件与电偶臂间的空隙转变为元件内部孔隙结构,从而减少了热损失,提升了模块性能。本文采用2种介质模型分析了内部空隙结构对模块性能的影响。结果表明,与传统设计方案模块的性能相比,本文设计的模块发电量提高了8%,效率提升了20%。此外本文分别采用9种高效热电材料作为填充,研究了复合材料内第二固相填充对模块性能的影响。该方案可在传统模块设计的基础上将性能提升约50%。
本文提出了一种将热电发电机模块优化设计与材料工程相结合的模块设计思路。该思路将热原件与电偶臂间的空隙转变为元件内部孔隙结构,从而减少了热损失,提升了模块性能。本文采用2种介质模型分析了内部空隙结构对模块性能的影响。结果表明,与传统设计方案模块的性能相比,本文设计的模块发电量提高了8%,效率提升了20%。此外本文分别采用9种高效热电材料作为填充,研究了复合材料内第二固相填充对模块性能的影响。该方案可在传统模块设计的基础上将性能提升约50%。
2018, 2(2): 170-178.
doi: 10.1093/ce/zky009
摘要:
煤炭与其他能源相比,储量相对更为丰富,故在电力行业将继续被广泛使用。近年来,为降低煤炭燃烧对环境造成的负面影响、减少二氧化碳的排放量,多个国家已评估并采用了一些新方法。初期研发工作专注于通过选择新燃料(比如生物质燃料)与煤炭混燃以减少煤炭燃烧的排放量,随后则致力于实现二氧化碳捕集和封存用的新工艺,例如富氧燃烧。此外,煤炭燃烧是导致微量元素排放至大气的主要人为因素之一。由于越来越了解这些污染物对环境造成的影响,人们制定了一系列更严格的标准以控制某些微量元素的排放,针对控制排放的技术和途径的研究也越来越多。本文回顾了微量元素捕集过程中涉及的主要因素,比较了采取不同控制措施后汞和其他微量元素的排放结果,讨论了新式燃烧工艺的效果和针对这些污染物的各种污染控制技术。
煤炭与其他能源相比,储量相对更为丰富,故在电力行业将继续被广泛使用。近年来,为降低煤炭燃烧对环境造成的负面影响、减少二氧化碳的排放量,多个国家已评估并采用了一些新方法。初期研发工作专注于通过选择新燃料(比如生物质燃料)与煤炭混燃以减少煤炭燃烧的排放量,随后则致力于实现二氧化碳捕集和封存用的新工艺,例如富氧燃烧。此外,煤炭燃烧是导致微量元素排放至大气的主要人为因素之一。由于越来越了解这些污染物对环境造成的影响,人们制定了一系列更严格的标准以控制某些微量元素的排放,针对控制排放的技术和途径的研究也越来越多。本文回顾了微量元素捕集过程中涉及的主要因素,比较了采取不同控制措施后汞和其他微量元素的排放结果,讨论了新式燃烧工艺的效果和针对这些污染物的各种污染控制技术。
2018, 2(2): 112-126.
doi: 10.1093/ce/zky017
摘要:
太阳辐射能资源相关资料是太阳能技术大规模应用项目的基本资料。本文汇总了关于英国新气象站网络的分析结果。此次分析采用的是英国境内27座气象站从2015年1月至2017年12月共3年的数据。分析数据包括总水平辐射(Global horizontal irradiance,GHI)、散射水平辐射(Diffuse horizontal irradiance,DHI)、直接辐射(Direct normal irradiance,DNI)以及环境温度。本文介绍了网络设计、实施以及数据准确性的保证,用于记录网络观测数据的范围和准确性。从所观测的数据集中分析,我们发现,与另外26个站点相比,普利茅斯(Plymouth,位于英格兰西南部)的GHI和环境温度最高。在阿伯丁(Aberdeen,位于苏格兰东北部)观测到的GHI最低,估计为77.3 kW·h/m2。在位于苏格兰首都爱丁堡(Edinburgh)的气象站观测到的平均环境温度最低,为9.1 ℃。尽管需要连续观测才能了解年际资源变化,但本文的研究对于初步技术选择、发电厂建模和资源预测仍然具有非常重要的应用价值。
太阳辐射能资源相关资料是太阳能技术大规模应用项目的基本资料。本文汇总了关于英国新气象站网络的分析结果。此次分析采用的是英国境内27座气象站从2015年1月至2017年12月共3年的数据。分析数据包括总水平辐射(Global horizontal irradiance,GHI)、散射水平辐射(Diffuse horizontal irradiance,DHI)、直接辐射(Direct normal irradiance,DNI)以及环境温度。本文介绍了网络设计、实施以及数据准确性的保证,用于记录网络观测数据的范围和准确性。从所观测的数据集中分析,我们发现,与另外26个站点相比,普利茅斯(Plymouth,位于英格兰西南部)的GHI和环境温度最高。在阿伯丁(Aberdeen,位于苏格兰东北部)观测到的GHI最低,估计为77.3 kW·h/m2。在位于苏格兰首都爱丁堡(Edinburgh)的气象站观测到的平均环境温度最低,为9.1 ℃。尽管需要连续观测才能了解年际资源变化,但本文的研究对于初步技术选择、发电厂建模和资源预测仍然具有非常重要的应用价值。
2018, 2(2): 127-141.
doi: 10.1093/ce/zky012
摘要:
燃料电池通过电化学方式将燃料中的化学能转化为电能和热,因而可高效发电,且对环境的影响很小。燃料电池的应用包括固定式发电、分布式热电联产(Combined heat and power,CHP)和便携式电源。最近,针对将固体碳中的化学能直接转化为电能的直接碳燃料电池(Direct carbon fuel cell,DCFC)技术,相关人员开展了研究工作。本文讨论了这些技术及其发展现状。对于中小型固定式发电系统和CHP系统,美国在燃料电池容量方面排名世界第一,而日本在输电系统方面保持领先地位。全球最大的燃料电池发电厂位于韩国:59 MW京畿道华城市绿色能源园区(Gyeonggi Green Energy Park,Hwasoh City)。政府通过税收抵免和其他激励政策推动燃料电池系统的部署。目前,对于大型固定式发电来说,研究热点是利用整体煤气化高温燃料电池技术(Integrated gasification fuel cell,IGFC)开发超高效、低排放的发电系统。作为CoolGen项目的成果,全球第一座联合碳捕获与封存(Carbon capture and storage,CCS)技术的IGFC示范发电厂可能将于2021年在日本建成。DCFC技术仍处于起步阶段,离示范阶段还有很长一段路要走。固定式燃料电池面临的总体挑战在于成本和电池耐久性。从现有系统和IGFC示范发电厂的研究、设计、建造和商业运行中获取的经验应引领此技术的进一步发展,帮助降低成本,使固定式燃料电池技术成为发电的现实选择。
燃料电池通过电化学方式将燃料中的化学能转化为电能和热,因而可高效发电,且对环境的影响很小。燃料电池的应用包括固定式发电、分布式热电联产(Combined heat and power,CHP)和便携式电源。最近,针对将固体碳中的化学能直接转化为电能的直接碳燃料电池(Direct carbon fuel cell,DCFC)技术,相关人员开展了研究工作。本文讨论了这些技术及其发展现状。对于中小型固定式发电系统和CHP系统,美国在燃料电池容量方面排名世界第一,而日本在输电系统方面保持领先地位。全球最大的燃料电池发电厂位于韩国:59 MW京畿道华城市绿色能源园区(Gyeonggi Green Energy Park,Hwasoh City)。政府通过税收抵免和其他激励政策推动燃料电池系统的部署。目前,对于大型固定式发电来说,研究热点是利用整体煤气化高温燃料电池技术(Integrated gasification fuel cell,IGFC)开发超高效、低排放的发电系统。作为CoolGen项目的成果,全球第一座联合碳捕获与封存(Carbon capture and storage,CCS)技术的IGFC示范发电厂可能将于2021年在日本建成。DCFC技术仍处于起步阶段,离示范阶段还有很长一段路要走。固定式燃料电池面临的总体挑战在于成本和电池耐久性。从现有系统和IGFC示范发电厂的研究、设计、建造和商业运行中获取的经验应引领此技术的进一步发展,帮助降低成本,使固定式燃料电池技术成为发电的现实选择。




扫一扫,关注我们