2018年2卷1期
显示方式: |
2018, 2(1): 1-9.
doi: 10.1093/ce/zky004
摘要:
燃煤电厂一直在寻找提高发电效率并且能延长电厂使用寿命的方法,其相关措施包括提高运行方式的灵活性以及降低燃煤对环境的影响。本文中探讨了两种相关方法:燃煤–太阳能集成发电以及燃煤电厂混燃天然气。这两种方法都很有潜力。根据具体的环境情况,两种方法都可以提高电厂的灵活性并且降低电厂的排放。在某些情况下,电厂的成本也可以降低。显然,只有在太阳辐射强度一直保持在较高水平的地方,才能使用太阳能发电系统。类似的,尽管很多燃煤装置在燃煤的同时也会使用少量天然气,但如果要大量使用天然气,则还需要有可靠、较廉价的天然气供应源。但是显然并不是所有地方都具备这些必要条件。然而这两种技术各自都有一些特点可以满足相关标准要求。由于需要良好的太阳辐射,燃煤–太阳能集成发电的利用会受到一定限制。短期来看,天然气的最大消费市场仍为美国现有燃煤电厂。然而,在天然气供应稳定且价格较低的其他国家,天然气具有一定市场潜力。
燃煤电厂一直在寻找提高发电效率并且能延长电厂使用寿命的方法,其相关措施包括提高运行方式的灵活性以及降低燃煤对环境的影响。本文中探讨了两种相关方法:燃煤–太阳能集成发电以及燃煤电厂混燃天然气。这两种方法都很有潜力。根据具体的环境情况,两种方法都可以提高电厂的灵活性并且降低电厂的排放。在某些情况下,电厂的成本也可以降低。显然,只有在太阳辐射强度一直保持在较高水平的地方,才能使用太阳能发电系统。类似的,尽管很多燃煤装置在燃煤的同时也会使用少量天然气,但如果要大量使用天然气,则还需要有可靠、较廉价的天然气供应源。但是显然并不是所有地方都具备这些必要条件。然而这两种技术各自都有一些特点可以满足相关标准要求。由于需要良好的太阳辐射,燃煤–太阳能集成发电的利用会受到一定限制。短期来看,天然气的最大消费市场仍为美国现有燃煤电厂。然而,在天然气供应稳定且价格较低的其他国家,天然气具有一定市场潜力。
2018, 2(1): 10-19.
doi: 10.1093/ce/zky003
摘要:
本文的主要目的是全面介绍现有利用海浪能发电技术的相关情况。文中将说明海浪能利用技术的潜力以及相关技术面临的各种挑战,另外还将结合海上风电–海浪发电项目(亦称为混合项目)简要地讨论其多种优势。同时本文将简要说明现有各种利用波能发电技术的关键要素(包括利用率和捕集宽度)及其面临的影响。最后将讨论最具应用前景的技术的平准化能源成本目标。
本文的主要目的是全面介绍现有利用海浪能发电技术的相关情况。文中将说明海浪能利用技术的潜力以及相关技术面临的各种挑战,另外还将结合海上风电–海浪发电项目(亦称为混合项目)简要地讨论其多种优势。同时本文将简要说明现有各种利用波能发电技术的关键要素(包括利用率和捕集宽度)及其面临的影响。最后将讨论最具应用前景的技术的平准化能源成本目标。
2018, 2(1): 20-29.
doi: 10.1093/ce/zky001
摘要:
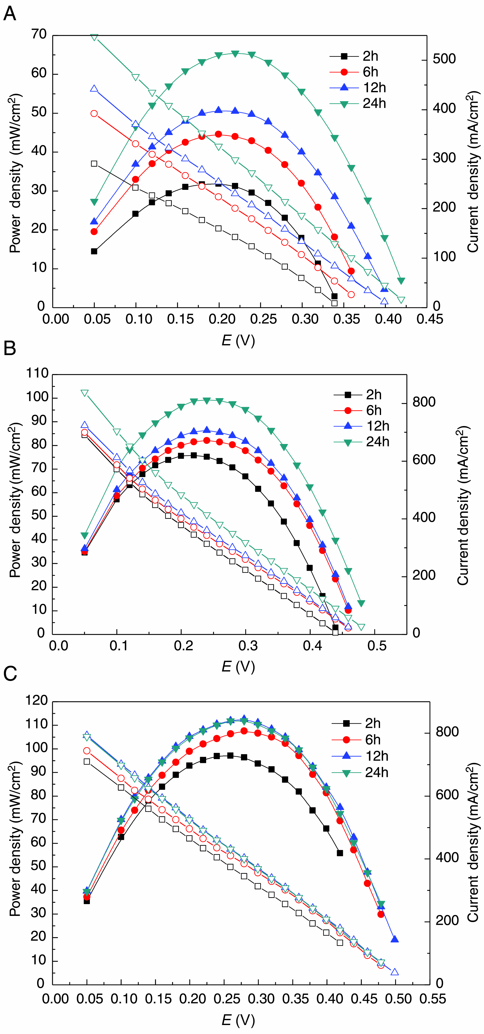
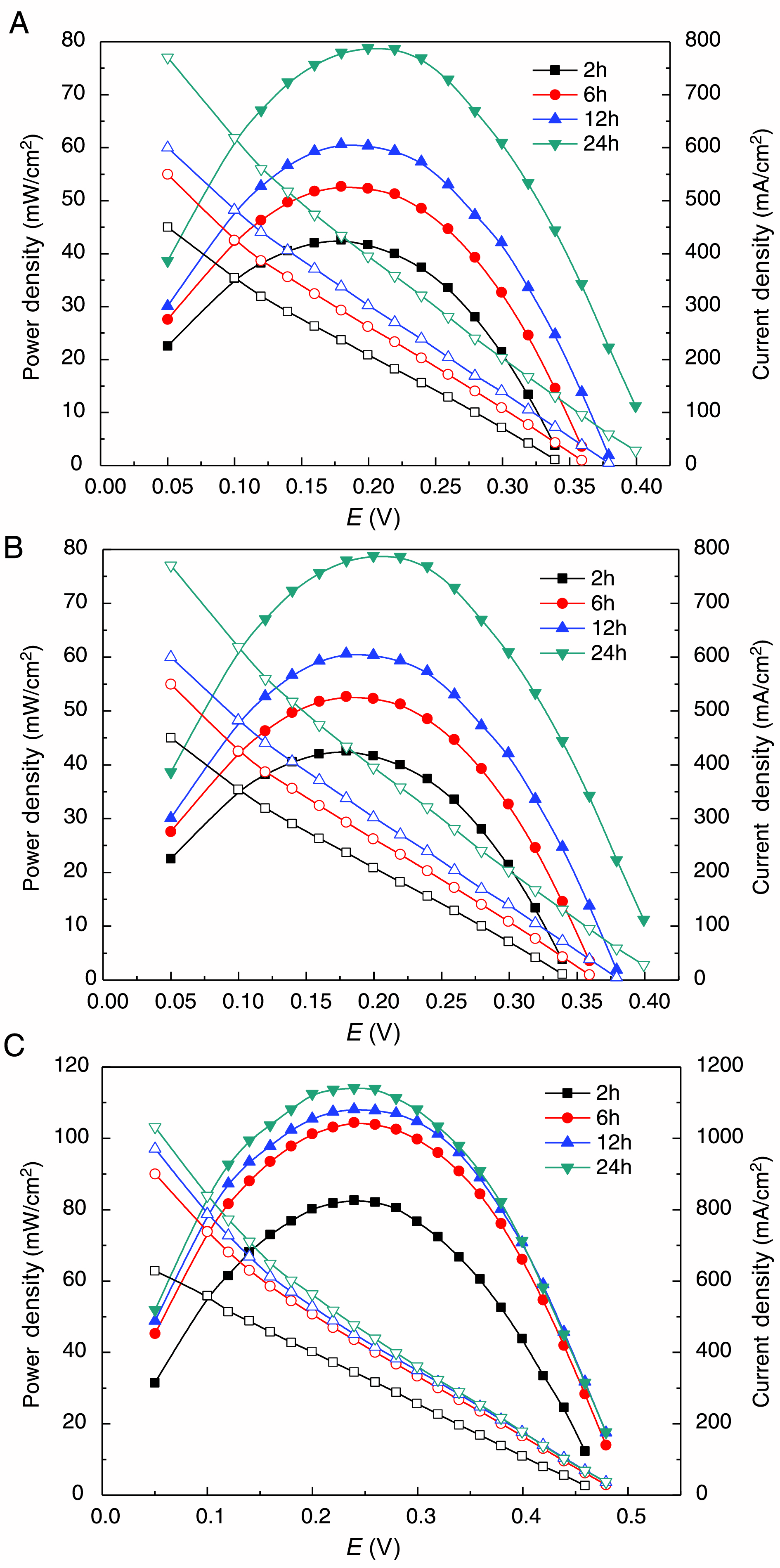
农业可燃废弃物由于其有机质含量高,热值高,被视为一种具有极大潜力的能源来源。随着中国经济的迅猛发展,能源需求量急剧增长,与此同时环境保护的要求也越来越严格。这些相互竞争的要求使人们迫切需要寻找一种绿色环保的方式从农业废弃物中获取能源。在本项研究中,开发了一种全新的把农业废弃物直接作为燃料的液体催化燃料电池技术。这种类型的液流燃料电池可以直接将农业可燃废弃物在常压下转换为电能,反应温度为80~150 ℃,是一项绿色环保的新型电池技术。杂多酸作为催化剂和电荷载体驱动液流电池。以小麦秸秆和酒糟代表农业可燃废弃物的主要组成成分进行了电池效能研究。实验结果表明,以农业可燃废弃物为燃料的液流燃料电池能量密度高达111 mW/cm2,是微生物燃料电池的数千倍之多。
农业可燃废弃物由于其有机质含量高,热值高,被视为一种具有极大潜力的能源来源。随着中国经济的迅猛发展,能源需求量急剧增长,与此同时环境保护的要求也越来越严格。这些相互竞争的要求使人们迫切需要寻找一种绿色环保的方式从农业废弃物中获取能源。在本项研究中,开发了一种全新的把农业废弃物直接作为燃料的液体催化燃料电池技术。这种类型的液流燃料电池可以直接将农业可燃废弃物在常压下转换为电能,反应温度为80~150 ℃,是一项绿色环保的新型电池技术。杂多酸作为催化剂和电荷载体驱动液流电池。以小麦秸秆和酒糟代表农业可燃废弃物的主要组成成分进行了电池效能研究。实验结果表明,以农业可燃废弃物为燃料的液流燃料电池能量密度高达111 mW/cm2,是微生物燃料电池的数千倍之多。
2018, 2(1): 38-46.
doi: 10.1093/ce/zky005
摘要:
自2016年巴黎协定生效后,可再生能源的增长促进了低碳经济在全球范围内的发展。由于太阳能光伏发电、风电等间歇性可再生能源的增长,电力系统对传统发电厂的调峰能力提出了更高的要求,要求通过常规发电厂来调节不断增加的电网波动。除了常规发电厂的调节外,还有很多电网调峰方式:改善电网结构、储能和需求响应等。充分利用所有可能的调峰方式,对实现间歇性可再生能源发电系统经济利用的最大化十分必要。在日本,政府引入了上网电价补贴政策,同时启动了电力市场化改革,成功提高了间歇性可再生能源的份额。但同时,日本九大电网呈鱼骨状串联的独特电力系统结构又使不断增长的间歇性可再生能源市场面临巨大挑战。本文对2030年日本电力系统的灵活性价值进行了评估。一个新开发的生产成本模型被用于分析不同的间歇性可再生能源情形。模拟结果定量给出了各种调峰手段对发电成本和间歇性可再生能源弃用情况的影响,并阐明了电网灵活性对间歇性可再生能源弃用的影响机制。
自2016年巴黎协定生效后,可再生能源的增长促进了低碳经济在全球范围内的发展。由于太阳能光伏发电、风电等间歇性可再生能源的增长,电力系统对传统发电厂的调峰能力提出了更高的要求,要求通过常规发电厂来调节不断增加的电网波动。除了常规发电厂的调节外,还有很多电网调峰方式:改善电网结构、储能和需求响应等。充分利用所有可能的调峰方式,对实现间歇性可再生能源发电系统经济利用的最大化十分必要。在日本,政府引入了上网电价补贴政策,同时启动了电力市场化改革,成功提高了间歇性可再生能源的份额。但同时,日本九大电网呈鱼骨状串联的独特电力系统结构又使不断增长的间歇性可再生能源市场面临巨大挑战。本文对2030年日本电力系统的灵活性价值进行了评估。一个新开发的生产成本模型被用于分析不同的间歇性可再生能源情形。模拟结果定量给出了各种调峰手段对发电成本和间歇性可再生能源弃用情况的影响,并阐明了电网灵活性对间歇性可再生能源弃用的影响机制。
2018, 2(1): 47-58.
doi: 10.1093/ce/zky007
摘要:
可再生能源取之不尽、用之不竭;人类只需开发出相应的技术以对其进行高效利用和经济地配置。能源向电力的转换一直是工程师及研究人员长期重点关注的领域。潮汐能被列为五种可以改变世界的新能源之一——其他四种分别是燃料电池、锂空气电池、智能电网和空间太阳能电站(http://oilprice.com/Alternative-Energy/Renewable-Energy/5-Clean-Energy-Innovations-That-Could-Transform-Our-World.html)。任何类型的能源,若想得到有效利用,第一步都要进行资源工程评估。尼日利亚潮汐流能源丰富,有多个候选场地可供评估。本项研究的目的是利用改进型的连续小波变换法对7个沿海地区的潮汐资源进行评估,并做出相应的平准化发电成本分析。Foster方法初次应用于分析非周期性的潮汐序列数据。结果表明,各个场地的峰值平均近似速度约为10 m/s时,潮汐能源功率能够维持在可用的水平,且可以较为经济地提取出来,其平准化发电成本估值低于国际可再生能源机构给出的数据。本项研究在一系列研究热带尼日利亚潮汐能源的论文中具有代表性。
可再生能源取之不尽、用之不竭;人类只需开发出相应的技术以对其进行高效利用和经济地配置。能源向电力的转换一直是工程师及研究人员长期重点关注的领域。潮汐能被列为五种可以改变世界的新能源之一——其他四种分别是燃料电池、锂空气电池、智能电网和空间太阳能电站(http://oilprice.com/Alternative-Energy/Renewable-Energy/5-Clean-Energy-Innovations-That-Could-Transform-Our-World.html)。任何类型的能源,若想得到有效利用,第一步都要进行资源工程评估。尼日利亚潮汐流能源丰富,有多个候选场地可供评估。本项研究的目的是利用改进型的连续小波变换法对7个沿海地区的潮汐资源进行评估,并做出相应的平准化发电成本分析。Foster方法初次应用于分析非周期性的潮汐序列数据。结果表明,各个场地的峰值平均近似速度约为10 m/s时,潮汐能源功率能够维持在可用的水平,且可以较为经济地提取出来,其平准化发电成本估值低于国际可再生能源机构给出的数据。本项研究在一系列研究热带尼日利亚潮汐能源的论文中具有代表性。
2018, 2(1): 59-72.
doi: 10.1093/ce/zky008
摘要:
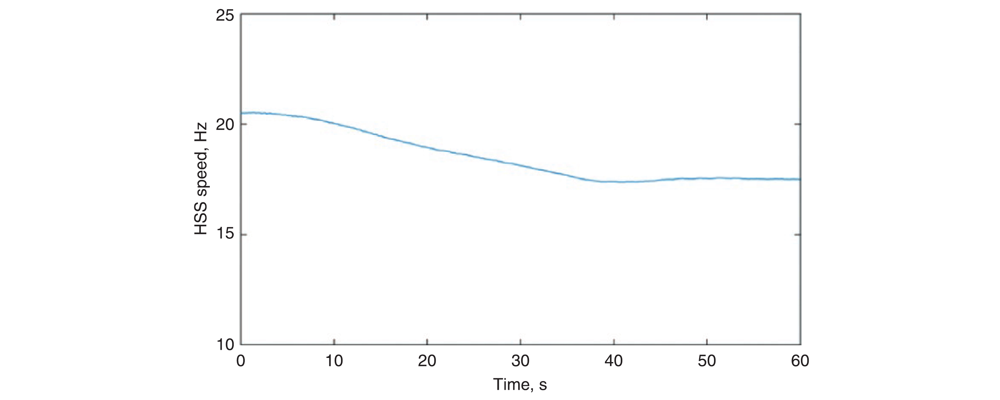
本文介绍了一种便携式风力发电机故障检测系统及其在风机传动链部件故障检测中的应用。基于振动测试和分析的便携式故障检测仪在常规旋转机械中的应用已有很久的历史,但在风力发电机中的应用并不广泛。究其原因是多样的,除了测试条件要求高外,更重要的是风力发电机传动链的结构多样性,运行状态的不确定性,以及不同部件损伤机理的复杂性,都使得基于常规旋转机械故障检测的方法应用于风力发电机时可测率和准确率较低,从而影响了便携式系统的广泛应用。本文利用北京低碳清洁能源研究院开发的一种基于风力发电机传动链运动学和不同旋转速度下各部件故障的动力学为基础的振动分析方法,对同步采集的加速度和高速轴速度信号,通过齿轮箱内任意指定轴的同步分析等多种方法进行故障检测,提高了对各类部件尤其是有关中低速轴部件损伤检测的可行性和精准度。本文对3个风机的实测案例进行了分析,涵盖了低速和中速行星齿轮内圈齿轮损伤、低速行星齿轮损伤和主轴承损伤等典型的齿轮箱检测中较难处理的损伤模式,验证了该振动分析方法的可行性和精确性。
本文介绍了一种便携式风力发电机故障检测系统及其在风机传动链部件故障检测中的应用。基于振动测试和分析的便携式故障检测仪在常规旋转机械中的应用已有很久的历史,但在风力发电机中的应用并不广泛。究其原因是多样的,除了测试条件要求高外,更重要的是风力发电机传动链的结构多样性,运行状态的不确定性,以及不同部件损伤机理的复杂性,都使得基于常规旋转机械故障检测的方法应用于风力发电机时可测率和准确率较低,从而影响了便携式系统的广泛应用。本文利用北京低碳清洁能源研究院开发的一种基于风力发电机传动链运动学和不同旋转速度下各部件故障的动力学为基础的振动分析方法,对同步采集的加速度和高速轴速度信号,通过齿轮箱内任意指定轴的同步分析等多种方法进行故障检测,提高了对各类部件尤其是有关中低速轴部件损伤检测的可行性和精准度。本文对3个风机的实测案例进行了分析,涵盖了低速和中速行星齿轮内圈齿轮损伤、低速行星齿轮损伤和主轴承损伤等典型的齿轮箱检测中较难处理的损伤模式,验证了该振动分析方法的可行性和精确性。
2018, 2(1): 73-82.
doi: 10.1093/ce/zky002
摘要:
本文讨论了用于碳捕集和封存的二代富氧燃烧技术在不同阶段的市场潜力评估结果,其中增加氧含量可以提高效率并且延长产品生命周期。需要强调的是,一项开发时间很长的能源技术要商业化应用,会面临很多风险因素。同时,外部市场环境、法律法规和二氧化碳的市场交易价格等也会造成各种问题,需要解决。本文的研究是基于一种二代循环流化床富氧燃烧技术,研究内容包括SWOT分析以及产品生命周期估算。以循环流化床富氧燃烧技术为基础,二代富氧燃烧技术的商业化很大程度上取决于相关能源市场环境的技术、社会和经济等各方面的因素。现在,欧盟的二氧化碳排放交易价格不到10欧元/吨,这不利于CCS技术的投资。二氧化碳封存还面临公众的反对和欧盟法令方面的限制。估计此技术的商业化应用时间将在2030年,到时候二氧化碳交易价格需要在30欧元/吨左右。要使二代循环流化床富氧燃烧技术在商业上变得可行,则还需要相关的技术开发或政府补贴。由于技术的价格发展趋势会受到欧盟环境政策、政治和公众接受度等多种外部因素的影响,因此要投入市场实用,技术进步和政府补贴等都非常重要。
本文讨论了用于碳捕集和封存的二代富氧燃烧技术在不同阶段的市场潜力评估结果,其中增加氧含量可以提高效率并且延长产品生命周期。需要强调的是,一项开发时间很长的能源技术要商业化应用,会面临很多风险因素。同时,外部市场环境、法律法规和二氧化碳的市场交易价格等也会造成各种问题,需要解决。本文的研究是基于一种二代循环流化床富氧燃烧技术,研究内容包括SWOT分析以及产品生命周期估算。以循环流化床富氧燃烧技术为基础,二代富氧燃烧技术的商业化很大程度上取决于相关能源市场环境的技术、社会和经济等各方面的因素。现在,欧盟的二氧化碳排放交易价格不到10欧元/吨,这不利于CCS技术的投资。二氧化碳封存还面临公众的反对和欧盟法令方面的限制。估计此技术的商业化应用时间将在2030年,到时候二氧化碳交易价格需要在30欧元/吨左右。要使二代循环流化床富氧燃烧技术在商业上变得可行,则还需要相关的技术开发或政府补贴。由于技术的价格发展趋势会受到欧盟环境政策、政治和公众接受度等多种外部因素的影响,因此要投入市场实用,技术进步和政府补贴等都非常重要。
2018, 2(1): 30-37.
doi: 10.1093/ce/zky006
摘要:
本文对加氢站技术的解析过程使用了德温特创新系统(Derwent Innovation System,DIS)进行数据筛选。研究人员可通过所述方法更好地理解和掌握加氢站技术的发展趋势。本文对加氢站相关专利技术的发展趋势进行了回顾,其结果表明加氢站技术的专利主要分布在日本、中国、美国和欧洲等国家和地区。日本引领了加氢站技术领域的发展方向,分析结果表明其专利技术主要来自神户制铁、新日本石油、丰田和本田。本文还对其他重要的专利申请人包括林德、现代和德士古进行了分析。最后本文提出了概括性观点,即使用专利分析方法是了解和评估加氢站商业发展趋势的有效切入点。
本文对加氢站技术的解析过程使用了德温特创新系统(Derwent Innovation System,DIS)进行数据筛选。研究人员可通过所述方法更好地理解和掌握加氢站技术的发展趋势。本文对加氢站相关专利技术的发展趋势进行了回顾,其结果表明加氢站技术的专利主要分布在日本、中国、美国和欧洲等国家和地区。日本引领了加氢站技术领域的发展方向,分析结果表明其专利技术主要来自神户制铁、新日本石油、丰田和本田。本文还对其他重要的专利申请人包括林德、现代和德士古进行了分析。最后本文提出了概括性观点,即使用专利分析方法是了解和评估加氢站商业发展趋势的有效切入点。




扫一扫,关注我们